 |
|
Seite überarbeitet Dezember 2023 |
 |
Kontakt |
 |
|
 |
Programmübersicht |
 |
|
 |
Bestelltext |
 |
|
|
Infos auf dieser Seite |
... als pdf |
 |
|
 |
 |
Eingabeoberfläche .................. |
 |
|
 |
Theorie Blechbeulen EC 3-1-5 |
 |
|
 |
... Methode reduz. Spanngn. |
 |
|
 |
Geometrie u. Material ............. |
 |
|
 |
... Schubverzerrungen ............ |
 |
|
 |
... flanschinduz. Stegbeulen |
 |
|
 |
Rechenlaufsteuerung .............. |
 |
|
 |
... Verf. wirksame Q-Fläche ... |
 |
|
 |
... Steifen ............................... |
 |
|
 |
Nachweisergebnisse ............... |
 |
|
 |
... Schubbeulen ...................... |
 |
|
 |
... Querschnittsklasse ............. |
 |
|
 |
Schnittgrößen ........................ |
 |
|
 |
... Querlastbeulen ................... |
 |
|
|
 |
Schnittgrößenimport ............... |
 |
|
 |
... Interaktionen ...................... |
 |
|
 |
Werkzeug Beulfaktoren ........... |
 |
|
|
|
|
 |
|
 |
|
Bild vergrößern |
 |
|
|
|
Mit dem Programm 4H-EC3BL,
Beulnachweise, können einzelne Beulfelder oder ausgewählte Trägerprofile nachgewiesen werden. |
Die zugehörigen Verbindungsparameter werden
in eigenen Registerblättern verwaltet, die über folgende
Symbole
die dahinter liegende Parameterauswahl kenntlich machen. |
|
 |
|
 |
Im ersten Registerblatt werden das
Beulprofil beschrieben und die Stahlgüte festgelegt. |
Der Querschnitt wird zur visuellen
Kontrolle maßstäblich am Bildschirm
dargestellt. |
|
|
|
 |
|
 |
Im zweiten Registerblatt werden die
nachweisrelevanten Parameter zur Steuerung des Rechenlaufs angegeben. |
|
|
|
 |
|
 |
Die Schnittgrößen werden im dritten Registerblatt festgelegt und können
entweder 'per Hand'
eingegeben oder aus einem pcae-Programm importiert werden. |
Um Schnittgrößen importieren
zu können, muss das entsprechende 4H-Programm
in der exportfähigen Version
installiert sein. |
Die Schnittgrößen
beziehen sich auf den Schwerpunkt des ggf. ausgesteiften
Profils und das Koordinatensystem
der Statik (x-y-z bzw. l-m-n). |
|
|
|
 |
automatische
Onlineberechnung |
|
|
 |
Dieser Schalter kann an oder aus sein. Ist er an, wird während der Eingabe
online das Berechnungsergebnis aktualisiert und
am Bildschirm
protokolliert. |
|
|
|
 |
|
 |
Weiterhin ist zur vollständigen
Beschreibung der Berechnungsparameter der dem Eurocode
zuzuordnende nationale Anhang zu wählen. |
Über den NA-Button wird das entsprechende Eigenschaftsblatt aufgerufen. |
|
|
|
 |
|
 |
Im Eigenschaftsblatt, das nach Betätigen
des Druckeinstellungs-Buttons
erscheint, wird der Ausgabeumfang der Druckliste festgelegt. |
|
|
|
 |
|
 |
Das Statikdokument kann durch Betätigen
des Visualisierungs-Buttons
am Bildschirm
eingesehen werden. |
|
|
|
 |
|
 |
Über den Drucker-Button
wird in das Druckmenü gewechselt,
um das Dokument auszudrucken. |
Hier werden auch die Einstellungen
für die Visualisierung vorgenommen. |
|
|
|
 |
|
 |
Über den Pläne-Button
wird das pcae-Programm zur Planbearbeitung aufgerufen. |
Der aktuelle Querschnitt wird im pcae-Planerstellungsmodul
dargestellt, kann dort weiterbearbeitet, geplottet
oder im DXF-Format exportiert werden. |
|
|
|
 |
|
 |
Über den Hilfe-Button
wird die kontextsensitive Hilfe zu den einzelnen
Registerblättern aufgerufen. |
|
|
|
 |
|
 |
Das Programm kann mit oder ohne Datensicherung
verlassen werden. |
Bei Speichern der Daten wird die
Druckliste aktualisiert und in das globale Druckdokument
eingefügt. |
|
|
|
|
 |
|
 |
im Register 1 werden die Material-
und Geometrie-Parameter festgelegt. |
|
|
Teilsicherheitsbeiwerte |
 |
|
Im Programm 4H-EC3BL werden
nach EC 3-1-8 folgende Materialsicherheitsbeiwerte herangezogen |
|
|
|
Die Werte können entweder den entsprechenden Normen
(s. Nationaler Anhang) entnommen oder
vom Anwender vorgegeben werden. |
|
|
|
|
Stahlsorte |
 |
|
Grundsätzlich kann jedem Tragelement ein
eigenes Material zugeordnet werden. |
Der Übersichtlichkeit halber kann an dieser Stelle
eine einheitliche Stahlgüte für die Einzelelemente
(Beulfeld, Quersteifen, Längssteifen, ggf. Kranbahnschiene) gewählt
werden. |
|
|
|
Da die Beschreibung der Stahlparameter nach EC3 programmübergreifend identisch ist, wird auf die allgemeine
Beschreibung der Stahlsorten verwiesen. |
|
|
|
|
Geometrie |
 |
|
Das Programm 4H-EC3BL weist
die Tragfähigkeit eines typisierten Querschnittsprofils oder auch nur eines
Beulfelds nach. |
Dazu sind entweder die Abmessungen des Beulfelds |
|
|
|
oder das Trägerprofil einzugeben. |
Die Parameter des Trägerprofils können dabei
entweder über
den pcae-eigenen Profilmanager in
das Programm importiert werden oder als typisiertes
Stahlprofil parametrisiert eingegeben werden. |
|
|
|
Um ein Profil aus dem Angebot des Profilmanagers zu
wählen, ist der grün unterlegte Pfeil zu betätigen. |
Das externe Programm wird aufgerufen und ein Profil
kann aktiviert werden. Bei Verlassen des Profilmanagers werden die
benötigten Daten übernommen und der Profilname protokolliert. |
|
Zur Definition eines parametrisierten Profils wird
zunächst seine Klasse über eine Listbox festgelegt, anhand
derer bestimmt wird, welche weiteren Parameter freigelegt werden. |
Das Programm berechnet Träger mit Doppel-T-Profilen (I, H-,
DIL-, S-, W-Profile), Rechteck- sowie Hohlkasten-
profile und Flachstähle, wobei Hohlkasten und Flachstahl nur parametrisiert zur
Verfügung stehen. |
Andere Profilklassen sind in der Listbox farblich gekennzeichnet
und können nicht verwendet werden. |
|
|
|
Bei gewalzten Profilen werden die Ausrundungsradien
zwischen Flansch und Steg geometrisch berücksichtigt,
während geschweißte Blechprofile mit Schweißnähten
zusammengefügt sind. |
Diese Schweißnähte werden nicht nachgewiesen. |
|
Das Beulfeld wird seitlich durch Quersteifen gehalten,
die als als starre Auflagerung dienen. |
Die Steifen können ebenso entweder aus
dem Profilmanager ausgewählt oder parametrisiert eingegeben werden. |
Als Quersteifen stehen Winkel-, U- bzw. C-, T- bzw. 1/2I-, Trapez-Profile
und Flachstähle zur Verfügung,
wobei Trapezprofil und Flachstahl nur parametrisiert eingegeben werden können. |
|
|
|
Das Beulfeld kann längs ausgesteift sein. Dazu können
bis zu fünf Längssteifen mit äquidistantem Abstand
voneinander möglichst in der Druckzone des Beulfelds angeordnet werden. |
Zunächst ist die Anzahl an Steifen festzulegen, anschießend
der Abstand der ersten Steife von Oberkante
Träger bzw. vom
oberen Blechrand sowie der Abstand der Steifen voneinander. |
Es ist darauf zu achten, dass die Steifen sich nicht
berühren bzw. überschneiden! |
Das Steifenprofil wird dann analog zu den Quersteifen definiert. |
|
|
Zur optischen Kontrolle wird das ausgewählte Profil
einschl. Längssteifen maßstäblich am Bildschirm angezeigt. |
Die Abstände der Längssteifen sind bezeichnet. |
|
|
|
|
|
|
|
|
 |
|
 |
im Register 2 befinden sich die Angaben
zur Rechenlaufsteuerung. |
|
|
 |
|
Bild vergrößern |
 |
|
|
|
Beulnachweise |
 |
|
Der Programmablauf und die Bedeutungen der Einstellungen
werden in Anlehnung an zwei Literaturbeispiele aus |
Timmers, Lener
et.al.: Stabilitätsnachweise nach EC 3-1-5 - Theorie und Beispiele,
Stahlbaukalender 2015 |
|
erläutert. |
|
|
|
|
|
Beispiel 3 - Platten-/Schubbeulen |
 |
|
System |
|
Ein geschweißter Blechträger (parametrisiertes
I-Profil, Schweißnähte irrelevant) wird durch eine
Längssteife
verstärkt. |
Sämtliche Blechteile sind in einheitlicher Stahlgüte ausgeführt,
die Materialsicherheitsbeiwerte
entsprechen den normativen Vorgaben. |
Es werden zwei Lastkombinationen untersucht, die lt.
Beispiel für Platten- und Schubbeulen (Lk 1) sowie
M-N-V-Interaktion (Lk 2) nach dem Verfahren der wirksamen Querschnittsfläche
maßgebend
sind. |
Die Beschreibung der Methode der reduzierten Spannungen
erfolgt mit Lk 3. |
|
|
Rechenparameter |
|
Das Beulfeld im Steg wird durch starre Quersteifen
begrenzt, die die Beulfeldlänge festlegen.
Die Quersteifen werden in diesem Beispiel nicht überprüft. |
|
 |
Die Beulnachweise
können mit zwei verschiede-
nen Nachweisverfahren durchgeführt
werden. |
Je nach
Schnittgrößenkombination wird Platten-beulen, Schubbeulen und/oder Querlastbeulen sowie deren Interaktion untersucht. |
In diesem Beispiel wird das Verfahren
der wirksamen Fläche vorgestellt, Platten- und
Schubbeulen sind maßgebend. |
|
Sind Plattenbeulen mit Schubverzerrung, Schubbeulen und/oder
Querlastbeulen zu berücksichtigen, ist der Nachweisort,
d.h. die
Lage des Beulfelds im Träger, zu bestimmen. |
Für
den Querlastnachweis am Trägerende ist
der Abstand des
Lasteinleitungsbereichs
zum
freien Ende anzugeben. |
In
diesem Beispiel soll der Nachweis am Zwischenauflager geführt
werden. |
|
Wird der Nachweis am Zwischenauflager geführt,
ist für
den Schubbeulnachweis die Aussteifung
des Auflagers festzulegen. |
In diesem Beispiel sind
die Quersteifen gleichzeitig auch starre Auflagersteifen. |
|
Sollen Schubverzerrungen beim Nachweis für Plattenbeulen
berücksichtigt
werden, ist die mittragende Trägerlänge als Abstand
der Momentennullpunkte abzuschätzen. |
In diesem Beispiel werden die Schubverzerrungen vernachlässigt. |
|
|
|
Die Beulwerte sind sowohl für unausgesteifte Einzelfelder
als auch für das gesamte Beulfeld zu ermitteln. |
Für
unausgesteifte Beulfelder erfolgt die Berechnung nach EC 3-1-5
genau genug, für ein ausgesteiftes Gesamtfeld hingegen
können die Beulwerte zwischen der Norm und spezialisierten
Berechnungstools stark differieren. |
Das Programm 4H-EC3BL bietet an, die Beulwerte
entweder nach EC 3-1-5 zu bestimmen oder mittels eines
pcae-eigenen
Programmbausteins zu berechnen. |
Alternativ können die Beulwerte für die Einzelfelder nach EC 3-1-5 berechnet und für das Gesamtfeld global
(d.h. für alle Lastkombinationen gültig) eingegeben werden. |
Wird der Beulwert nach EC 3-1-5 berechnet und sind mehr als zwei Längssteifen vorgesehen, können diese
verschmiert (entspr. einer äquivalenten orthotropen Platte) in die Berechnung des Gesamtfelds einbezogen werden. |
Im vorliegenden Beispiel werden die Beulwerte nach EC 3-1-5
berechnet. |
|
Die folgenden Einstellungen betreffen nur das Plattenbeulen
nach dem Verfahren der wirksamen Fläche. |
|
Wird der Beulwert mit dem pcae-eigenen 4H-Werkzeug
berechnet, kann festgelegt werden, ob eine kombinierte
(Normal-, Schub- und Querlastspannung wirken gleichzeitig)
oder je nach Beulfall eine separierte Beanspruchung
(beim Plattenbeulen
nur die Normal-, beim Schubbeulen nur die Schub-,
beim Querlastbeulen nur die Querlastspannung) zur Ermittlung des
Beulwerts herangezogen wird. |
Die wirksamen Querschnittswerte können entweder getrennt nach den Lastkomponenten, d.h. die wirksame
Fläche auf Grund der Normalkraft und das wirksame Widerstandsmoment auf Grund des Biegemoments, oder
aus der resultierenden Verteilung der Längsspannungen aus gleichzeitiger Wirkung von Normalkraft und
Biegemoment ermittelt werden. |
Die resultierende Verteilung der Längsspannungen erfordert jedoch einen iterativen Berechnungsvorgang, um die Spannungsumlagerung
hinreichend genau abzubilden. |
Im vorliegenden Beispiel werden die effektiven Querschnittswerte
getrennt nach den Lastkomponenten ermittelt. |
|
Der Beulnachweis kann als Querschnittsnachweis mit dem Sicherheitsbeiwert γM0 oder als Stabilitätsnachweis für Biegeknicken und Biegedrillknicken mit γM1 geführt werden. |
In diesem Beispiel ist ein Querschnittsnachweis gefordert. |
|
Querlastbeulen ist nachzuweisen, wenn senkrecht zum Beulfeld eine lokal begrenzte Last eingeleitet wird. |
Dies können eine oder zwei Einzellasten am Obergurt (z.B. Radlasten aus einer Kranbahn) oder eine Einzellast
am Untergurt (z.B. eine Auflagerlast) des Trägers sein. |
|
In diesem Beispiel wird Querlastbeulen nicht untersucht. |
|
Die Voraussetzungen
zur Anwendung der Verfahren sind zu überprüfen (kann
unterdrückt werden). |
|
In diesem Beispiel ist die Einhaltung der Voraussetzungen
nicht relevant. |
|
Berechnung |
|
Zunächst wird überprüft, ob eine Schubverzerrung zu berücksichtigen ist. |
In diesem Beispiel ist dies zwar nicht gefordert, der Rechenweg soll hier jedoch aufgezeigt werden. |
Z.B. ergibt sich bei einer mittragenden Trägerlänge von Le = 10 m eine Verringerung der Flanschbreiten.
Diese Ersatzbreiten sind bei der weiteren Berechnung vorauszusetzen. |
Im vorliegenden Beispiel werden keine Ersatzbreiten verwendet. |
|
Die Querschnittswerte des Profils einschl. Steifen werden bestimmt, wobei bei geschweißten Profilen die Schweißnähte nicht zu berücksichtigen sind. |
Zur Information werden die am äußeren Querschnittsrand wirkenden Spannungen protokolliert sowie die Querschnittsklasse des Gesamtquerschnitts aufgeführt. |
|
|
Verfahren der wirksamen Querschnittsfläche |
 |
|
|
Der Nachweis für Plattenbeulen wird
anhand des ersten Lastkollektivs (s.o.) erläutert. |
Der Berechnungsvorgang wird in den allgemeinen
Erläuterungen beschrieben. |
|
Nachweis getrennt nach den Lastkomponenten |
|
Der Querschnitt wird zunächst mit der einwirkenden Druckkraft NEd belastet. |
|
In diesem Beispiel sind die Flansche nicht beulgefährdet (Q-Klasse 3). Die wirksame Breite der Flansche
entspricht der Bruttobreite. |
|
Sind die Flansche jedoch beulgefährdet (z.B. bei tf = 20 mm) wird die wirksame Breite der Flansche infolge Plattenbeulens berechnet. |
Der Beulwert wird bei dreiseitig gelagerten Beulfeldern unabhängig vom Eingabemodus stets nach EC 3-1-5 berechnet. |
Knickstabähnliches Verhalten ist bei dreiseitig gelagerten Beulfeldern stets ausgeschlossen. |
|
Nun werden die Spannungen unter Berücksichtigung der wirksamen Flanschbreiten erneut ermittelt. |
Der Steg wird durch die Längssteifen in Einzelbeulfelder aufgeteilt, deren Nummerierung von oben nach unten läuft. |
Der Ablauf zur Berechnung der wirksamen Breiten entspricht demjenigen der Flansche. |
Hier kann allerdings eine Interaktion zwischen plattenartigem und knickstabähnlichem Verhalten erfolgen, wenn die Beulfeldbreite
b größer als die Beulfeldlänge a ist. |
|
Für eine Beulfeldlänge von a = 2.000 mm < b = 2.487,5 mm ist demnach knickstabähnliches Verhalten zu
untersuchen. Es ergibt sich jedoch keine weitere Abminderung. |
|
Beulfeld 2 wird Q-Klasse 3 zugeordnet und erfährt damit keine Reduktion. |
|
 |
|
Zur Untersuchung des Gesamtfeldbeulens werden bei ausgesteiften Beulfeldern die Bereiche um die Steifen herum untersucht, d.h. es wird Steife i mit den wirksamen Breiten bi,e2 und bi+1,e1 der angrenzenden Beulfelder bi und bi+1 betrachtet. |
Die Querschnittswerte des Ersatzdruckstabs Asl und Isl ergeben sich also aus der mitwirkenden Breite der Steife bsl = bi,e2 + bi+1,e1 + tw,sl. |
Es werden Brutto-Querschnittswerte verwendet. Bei Steifen, deren angrenzende Beulfelder voll gedrückt sind (z.B. Druckflansch, ψ = 1), ergeben sich die
mitwirkenden Breiten bi,e2 = bi,b/2 und bi+1,e1 = bi+1,b/2. |
Die Extrapolation der kritischen Beulspannung der Steife auf den am meisten
gedrückten Blechrand erfolgt über die einwirkenden Spannungen σ1 und σsl. |
Der Beulschlankheitsgrad wird um den Wirksamkeitsfaktor βA = Asl,eff / Asl reduziert, wobei sich die wirksame Querschnittsfläche der Steife aus der Einzelbeulfeld-
berechnung ergibt (s. wirksame Breiten bi,e2 und bi+1,e1). |
Aus der Berechnung des endgültigen Abminderungsfaktors ρ ergeben sich die
wirksamen Breiten der angrenzenden Beulfelder bi,e2,eff und bi+1,e1,eff sowie die wirksame Fläche der Steife Asl,eff der Steife i. |
|
 |
|
|
Anschließend wird für offene Querschnitte der Nachweis der Drillknicksteifigkeit geführt. |
Ebenso wird überprüft, ob die Voraussetzung,
dass flanschinduziertes Stegbeulen ausgeschlossen ist, erfüllt
ist. |
|
Auf Grund der Querschnittsreduktion ergibt sich aus der Verschiebung des Schwerpunkts ein Zusatzmoment, das bei der Ermittlung des Widerstandsmoments zu berücksichtigen
ist. |
|
Nun wird der Querschnitt mit dem reinen einwirkenden Biegemoment MEd (ohne Zusatzmoment) belastet. |
Treten Zugspannungen (σ < 0) in den Mittelachsen der Gurtbleche auf, ist das Blech (hier der obere Flansch)
nicht beulgefährdet. |
|
Der weitere Berechnungsablauf entspricht demjenigen für reinen Druck. |
|
Es ergibt sich das aufnehmbare Biegemoment, wobei das Widerstandsmoment bei einer Berechnung ohne
Iteration auf die Mittelebene des Druckflanschs bezogen werden darf (EC 3-1-5, 4.2(2)). |
|
Der Nachweis wird mittels der M-N-Interaktion geführt. |
|
Es ergibt sich ein Unterschied zur Literaturvorlage, da in der Veröffentlichung das minimale auf den Steg bezogene Widerstandsmoment angesetzt wird. Dies entspricht jedoch nicht der Orientierung des Moments. |
|
Nachweis mit resultierender Verteilung der Längsspannungen |
|
Erfolgt jedoch die Berechnung aus gleichzeitiger Wirkung von NEd und MEd, erhält man nach drei Iterationsschritten dieselbe Ausnutzung (zufällig), wobei jedoch die effektiven Querschnittswerte durchaus verschieden sind. |
|
Ist in der Ausdrucksteuerung der Umfang der Druckausgabe nicht minimal und sind die Erläuterungsskizzen angewählt, werden der reduzierte Querschnitt (die Fehlflächen sind rot gekennzeichnet und vermaßt) sowie die resultierende Spannungsverteilung auf den Steg dargestellt. |
|
|
|
|
Der Nachweis gegen Schubbeulen wird
anhand des ersten Lastkollektivs (s.o.) erläutert. |
Der Berechnungsvorgang wird in den allgemeinen
Erläuterungen beschrieben. |
|
Die Einzelfelder und das Gesamtfeld werden untersucht. |
|
Zunächst wird überprüft, ob das Beulfeld schubbeulgefährdet ist. Ist ein genauer Nachweis erforderlich, wird der Schubwiderstand
des Beulfelds (Stegs) bestimmt. |
|
Bei der Betrachtung des Gesamtfelds darf bei Zweipunktquerschnitten (z.B. I-Profil) der Traganteil der Flansche berücksichtigt werden. Sind die Flansche durch die Biegenormalspannungen nicht voll ausgenutzt, dürfen sie die Tragwirkung des Stegs unterstützen. |
Im vorliegenden Beispiel sind die Flansche voll ausgenutzt. |
Nachfolgend wird gezeigt, wie die Beanspruchbarkeit der Flansche berechnet wird, wenn beispielsweise ein Biegemoment von nur 20.000 kNm wirkt. |
|
|
Die mitwirkende Breite wird unter Beachtung der angrenzenden Beulfeldbreiten bei offenen Steifen
mit bsl = 2·15·ε·tp + tst, bei geschlossenen Steifen mit bsl = 4·15·ε·tp berechnet. |
|
Der Bemessungswert der Beanspruchbarkeit für das Gesamtfeld
ist größer als für Beulfeld 1, so dass sich die maßgebende Traglast
ergibt zu Vb,Rd,min = Vb,Rd,1. |
|
 |
Interaktion zwischen Schub, Biegemoment und
Normalkraft |
|
|
|
Der Nachweis der M-N-V-Interaktion wird
anhand des zweiten Lastkollektivs (s.o.) erläutert. |
Der Berechnungsvorgang wird in den allgemeinen
Erläuterungen beschrieben. |
|
Zunächst wird die nur auf den Steg bezogene Tragfähigkeit aus Schubbeulen η3 berechnet. Ist diese > 0.5,
muss die gleichzeitige Wirkung von Schub, Biegemoment und Normalkraft berücksichtigt werden. |
Das plastische Widerstandsmoment wird mit der effektiven Querschnittsfläche der Flansche und der vollen Querschnittsfläche des Stegs ermittelt. |
|
Methode der reduzierten Spannungen |
 |
Der Nachweis wird anhand des dritten Lastkollektivs (s.o.) erläutert. |
Der Berechnungsvorgang wird in den allgemeinen Erläuterungen beschrieben. |
|
Hier soll - in Ergänzung zum o.a. Beispiel - der Berechnungsablauf dargestellt werden, wenn Schubverzerrung zu berücksichtigen ist. |
Für eine mittragende Trägerlänge von
10 m ergibt sich analog: |
|
Schubverzerrung ist sowohl für den Zug- als auch den Druckflansch zu berechnen und liefert wirksame Breiten,
die beim Nachweis der Beulsicherheit zu Grunde zu legen sind. |
Aus Kompatibilitätsgründen wird im Folgenden nicht mit Ersatzbreiten gerechnet. |
Da die Beulwerte mit dem pcae-eigenen 4H-Werkzeug ermittelt werden und bei der Methode der reduzierten Spannungen grundsätzlich eine kombinierte Beanspruchung vorliegt, können die Beulwerte vorab berechnet werden. |
|
Der Beulnachweis wird für die Flansche und den Steg getrennt geführt, da das schwächste Bauteil die Gesamttragfähigkeit bestimmt. |
Für den gedrückten Flansch werden die Laststeigerungsfaktoren für Spannungen und Stabilität n. EC 3-1-5
berechnet und der Nachweis geführt. Schubspannungen werden nicht angesetzt. |
|
|
Der Steg erfährt Spannungen aus Normalkraft, Biegemoment, Querkraft und ggf. Querlast. |
Der Laststeigerungsfaktor für Stabilität wird mit Hilfe des 4H-Werkzeugs für ein unausgesteiftes Beulfeld ermittelt. |
Für Beulfeld 2 erfolgt der Berechnungsablauf analog. |
|
Der Nachweis für das Gesamtfeld wird an der maßgebenden dem Druckrand am nächsten gelegenen Steife geführt. |
Der Laststeigerungsfaktor wird mit Hilfe des 4H-Werkzeugs für ein ausgesteiftes Beulfeld ermittelt. |
Der gleiche Wert ergibt sich auch unter Anwendung des Programms EBPlate, Centre Technique Industriel de la Construction Metallique (CTICM), www.cticm.com. |
Der in der Literatur angegebene Wert kann nicht nachvollzogen werden. |
|
Die Berechnung der mitwirkenden Breite der Steife, die bei der Interaktion zwischen plattenartigem und knickstabähnlichem Verhalten herangezogen wird, erfolgt analog dem Verfahren der wirksamen Fläche, Gesamtfeldbeulen (s.o.). |
Der Nachweis des Gesamtfelds führt zur höchsten Ausnutzung; das Gesamtfeld ist damit ausschlaggebend für die Tragfähigkeit des Querschnitts. |
Die Literaturquelle hingegen weist auf Grund des hohen Laststeigerungsfaktors für das Gesamtfeld das große Einzelbeulfeld als maßgebend aus. |
Anschließend wird für offene Querschnitte der Nachweis der Drillknicksteifigkeit für die maßgebende Steife geführt. |
Ebenso wird überprüft, ob die Voraussetzung, dass flanschinduziertes Stegbeulen ausgeschlossen ist, erfüllt ist. |
|
|
|
|
|
Beispiel 4 - Querlastbeulen |
 |
|
|
System |
|
Ein einzelnes Feld wird gegenüber Querbelastung aus Auflagerung bemessen. |
Es handelt sich um einen geschweißten Blechträger (parametrisiertes I-Profil), der durch eine Längssteife
verstärkt ist. |
Sämtliche Blechteile sind in einheitlicher Stahlgüte ausgeführt, die Materialsicherheitsbeiwerte entsprechen den normativen Vorgaben. |
|
 |
|
 |
|
 |
|
Der Querschnitt wird maßstäblich dargestellt, die Lasteinleitungsstelle
(Ober- oder Untergurt) ist gekennzeichnet. |
Bei Kastenträgern können keine Einzellasten berechnet werden. |
|
 |
|
Rechenparameter |
|
Das Beulfeld im Steg wird durch starre Quersteifen begrenzt, die die Beulfeldlänge festlegen und in diesem
Beispiel nicht überprüft werden. |
|
 |
In diesem Beispiel wird das Querlast-beulen mit dem Verfahren der wirksamen Fläche durchgeführt. |
|
Der Nachweis erfolgt im Trägerfeld, da sich gegenüberliegend kein Gegen-auflager zur direkten Aufnahme der Einzellast befindet. |
|
In der Aufgabenstellung werden nur die Tragfähigkeiten ermittelt, das Programm 4H-EC3BL weist jedoch die Ausnutzungen
gegenüber einer Einwirkung aus. |
Daher wird hier eine Querlast von
4.000 kN angesetzt. |
|
|
|
Berechnung: Verfahren der wirksamen Querschnittsfläche - Querlastbeulen |
|
Querlastbeulen wird für das maßgebende Einzelfeld und das Gesamtfeld im Steg untersucht. |
Der Berechnungsvorgang wird in den allgemeinen Erläuterungen beschrieben. |
|
Da der Lastangriff unten erfolgt, ist das belastete Einzelfeld 2 nachzuweisen. |
Anschließend wird das Gesamtfeld mit der am meisten belasteten Längssteife untersucht. |
Der Beulwert des unversteiften Beulfelds wird um den Anteil der Längssteife erhöht. |
|
Das Trägheitsmoment der Steife wird unter Berücksichtigung der mitwirkenden Plattenbreite bestimmt. |
In der Literaturquelle wird das Trägheitsmoment der Längssteife Isl,1 für die horizontale Achse berechnet, es ist jedoch die vertikale Achse maßgebend (analog Querkraftbeulen). |
Der nationale Anhang für Deutschland empfiehlt, zur Berechnung der kritischen Beullast den Beulwert mit
Steifenanteil wie folgt anzupassen |
|
In der Literaturquelle wird der Beulwert nicht nach den Vorgaben des nationalen Anhangs für Deutschland angepasst. Dadurch ergibt sich eine wesentlich geringere kritische Beullast. |
Die Berechnung des Abminderungsfaktors erfolgt ebenfalls nach dem nationalen Anhang für Deutschland |
|
Die Methode der reduzierten Spannungen ist konzipiert worden für die Anwendung von Software zur Berechnung
der Beulwerte. Bei der Handrechnung nach EC 3-1-5 ergibt sich eine hohe Ausnutzung |
|
Wird dagegen der Beulwert mit dem 4H-Werkzeug ermittelt, ist das Ergebnis erheblich wirtschaftlicher |
|
|
|
|
|
|
Nachweisergebnisse |
 |
 |
Ist der Button auto in der Kopfzeile des Programmfensters angeschaltet, werden die Berechnungs-
ergebnisse permanent abgeglichen und das Endresultat online am Bildschirm dargestellt. |
|
|
|
 |
Je
nach Nachweisoptionen und Anzahl an Lastkollektiven kann die
Berechnung und damit der Bildaufbau sehr lange dauern. pcae empfiehlt, den Button auto zunächst auszuschalten. |
|
|
Vorgehensweise bei drei und mehr Steifen |
 |
Bei der Berechnung der Beulspannungen von Beulfeldern mit mehr als zwei Längssteifen nach EC 3-1-5, Anh. A, können die Steifen entweder diskret oder über eine verschmierte Steifigkeit der äquivalenten orthogonalen Platte berücksichtigt werden. |
|
Analog zur Beulspannung für die Plattenbeuluntersuchung mit reiner Druckkraft ergibt sich für das ausgesteifte Gesamtfeld des äquivalenten orthogonalen Stegblechs |
|
|
|
|
 |
|
 |
das dritte Register beinhaltet die
Maske zur Eingabe der Bemessungs-
schnittgrößen
sowie eine Übersicht der Querschnittsausnutzungen je Lastkombination |
|
|
Die Schnittgrößen werden als Bemessungsgrößen
mit der Vorzeichendefinition
der Statik eingegeben, wobei das x,y,z-Koordinatensystem
dem l,m,n-Stabsystem
der pcae-Tragwerksprogramme entspricht. |
Es können bis zu 10.000 Schnittgrößenkombinationen eingegeben werden. |
|
 |
|
|
 |
|
|
Nachweisergebnisse |
 |
 |
Ist der Button auto in der Kopfzeile des Programmfensters angeschaltet, werden
permanent die Berechnungsergebnisse abgeglichen und je Lastkollektiv online am Bildschirm dargestellt. |
|
|
|
 |
|
Das maßgebende Lastkollektiv mit der höchsten
Ausnutzung oder einer Fehlermeldung wird gekennzeichnet.
Über
den Link maßgeb. Lk kann der Statikausdruck dieses Lastkollektivs
direkt eingesehen werden. |
|
 |
Je
nach Nachweisoptionen und Anzahl an Lastkollektiven kann die
Berechnung und damit der Bildaufbau sehr lange dauern. pcae empfiehlt, den Button auto zunächst auszuschalten. |
|
|
|
|
 |
|
Einleitung |
 |
|
Im Stahlbau werden die Stabilitätsfälle Biegeknicken /
Biegedrillknicken und Plattenbeulen / Schalenbeulen unterschieden. |
Biegeknicken /
Biegedrillknicken treten bei stabförmigen, schlanken Bauteilen
unter hoher Druckbeanspruchung
auf. |
Plattenbeulen wird bei ebenen Flächentragwerken durch
Druckspannungen und/oder Schubspannungen verursacht. |
Die Beanspruchungen entsprechen dabei den Schnittgrößen
von Scheiben, die Auswirkungen den Durchbiegungen
von
Platten. |
Unter Schalenbeulen wird das Stabilitätsversagen gekrümmter
Flächentragwerke (z.B. Kreiszylinder) verstanden. |
|
Im Programm 4H-EC3BL wird das Plattenbeulen von Querschnitten
mit ebenen Teilflächen (Blechen) untersucht. |
|
 |
|
Beulgefährdet sind Querschnitte, die durch Biegemomente,
Drucknormalkräfte und/oder Querkräfte
belastet sind
und bei großen Außenabmessungen eine geringe
Blechdicke oder eine höherfeste Stahlgüte aufweisen. |
|
 |
|
Zur Verstärkung können Längs- und/oder Quersteifen
angeschweißt werden, die das Blech in einzelne Beulfelder aufteilen.
Zu untersuchen sind sowohl die Einzelfelder als
auch das Gesamtfeld. |
Es wird vorausgesetzt, dass die
Quersteifen derart ausgebildet und angeordnet sind, dass sie als
seitliche Auflager eines Beulfelds
dienen. |
|
Längssteifen wirken nur im Druckbereich des Beul-
felds, sind dadurch allerdings selbst beulgefährdet. |
Es muss sichergestellt sein, dass
sie eine ausreichende Beulsicherheit aufweisen. |
Im Programm 4H-EC3BL
werden nur diskrete
(keine verschmierten) Steifen behandelt. |
|
Die Beulsicherheitsnachweise werden nach
DIN EN 1993-1-5 geführt,
wobei das Verfahren der wirksamen Querschnittsfläche (EC 3-1-5, 4-7)
und die Methode der reduzierten Spannungen
(EC 3-1-5,
10)
ggf. unter Berücksichtigung von Schubverzerrungen im Grenzzustand
der Trag-
fähigkeit (s. EC 3-1-5, 3.3) im Programm umgesetzt
wurden. |
|
 |
|
|
|
|
|
|
Schubverzerrungen |
 |
|
Bei Biegeträgern mit breiten Flanschen bleibt der Querschnitt
infolge der Schubverzerrung nicht eben und es kann
sich aufgrund
dieser Verwölbung keine konstante Verteilung der Biegenormalspannungen über
die Breite des Gurts einstellen. |
Um eine Anwendung der Bernoulli-Hypothese (Ebenbleiben der Querschnitte) zu ermöglichen,
wird eine
mittragende Breite eingeführt, über die die
Maximalspannung konstant ist. |
In Abhängigkeit der mittragenden
Länge Le wird ein Abminderungsfaktor β ermittelt, der
die geometrische
Gurtbreite b0 reduziert. |
Der Einfluss der Schubverzerrung
darf jedoch vernachlässigt werden, falls gilt b0 < Le/50. |
Der Abminderungsfaktor β für die mittragende Breite wird
nach EC 3-1-5, Tab. 3.1, bestimmt. |
|
|
|
Daraus ergibt sich die effektive Querschnittsfläche |
|
 |
unter Voraussetzung elastischen Werkstoffverhaltens (empfohlen
für die Methode der reduzierten Spannungen) zu |
|
 |
|
|
|
 |
unter Voraussetzung elastischen Werkstoffverhaltens und unter
Berücksichtigung des Plattenbeulens zu |
|
 |
|
|
|
 |
unter Voraussetzung elastisch-plastischen Werkstoffverhaltens
und unter Berücksichtigung des Plattenbeulens sowie der Begrenzung
plastischer Dehnungen (empfohlen für das Verfahren mit wirksamen
Breiten) zu |
|
 |
|
|
|
|
|
|
|
|
Verfahren der wirksamen Querschnittsfläche |
 |
|
Das einwirkende Spannungsfeld wird in die Beulfälle Längs-, Schub-
und Querspannungsbeanspruchung zerlegt,
für die dann die Beulnachweise
geführt werden. |
Diese Einzelnachweise erfassen das jeweilige überkritische
Tragverhalten systematisch und sehr genau, da sie z.B. auch die
Spannungsumlagerung von hoch beanspruchten Querschnittsteilen in
gering ausgenutzte Querschnittsteile berücksichtigen. |
Die Einzelnachweise
werden abschließend mithilfe eines Interaktionsnachweises zusammengeführt. |
Die Verfahren sind für typische I- und Kastenquerschnitte und deren
Beanspruchung ausgelegt. |
|
Voraussetzungen |
|
 |
die Beulfelder sind rechteckig und die Flansche näherungsweise
parallel |
|
 |
soweit Steifen vorhanden sind, verlaufen diese in Längs- und/oder
Querrichtung |
|
 |
Löcher oder Ausschnitte sind klein |
|
 |
die Bauteile sind gleichförmig |
|
 |
flanschinduziertes Stegbeulen ist ausgeschlossen |
|
|
|
Plattenbeulen |
|
Für druckbeanspruchte Blechelemente werden die Querschnittswerte
für Querschnittsklasse 4 (Aeff, Ieff, Weff) ermittelt. |
Damit
können
Querschnittsnachweise oder Stabilitätsnachweise (Knicken,
Biegedrillknicken) geführt werden. |
I.d.R. wird die wirksame
Querschnittsfläche Aeff unter Annahme reiner Druckbeanspruchungen
(MEd = 0) und das wirksame Widerstandsmoment Weff unter Annahme reiner
Biegelängsspannungen (NEd = 0) ermittelt. |
Alternativ dürfen
die wirksamen Querschnittswerte mit der resultierenden Verteilung
der
Längsspannungen
(gleichzeitige Wirkung von NEd und MEd) bestimmt
werden, wobei ein iteratives Vorgehen erforderlich ist. |
Aufgrund
der Schnittgrößenumlagerung kann sich ein zusätzliches Moment
Δ MEd = NEd · eN ergeben,
das beim Nachweis zu berücksichtigen
ist. |
|
|
|
Einzelblechfelder ohne Längssteifen |
|
Die wirksame Fläche der Druckzone eines unausgesteiften Blechfelds
wird berechnet mit |
|
|
Plattenartiges Verhalten |
|
Abminderungsbeiwert ρ für |
 |
beidseitig gestützte Querschnittsteile (z.B. Steg von I-Profilen) |
|
|
|
|
|
|
 |
einseitig gestützte Querschnittsteile (z.B. Flansche von I-Profilen) |
|
|
|
|
|
|
|
|
|
|
Der Beulschlankheitsgrad darf ersetzt werden durch |
|
|
Knickstabähnliches Verhalten |
|
Bei nicht ausgesteiften Blechfeldern ohne Lagerung in Längsrichtung
oder mit kleinem Seitenverhältnis (a/b < 1)
kann knickstabähnliches Verhalten auftreten. |
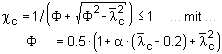
Der Abminderungsbeiwert χc wird auf Grundlage der maßgebenden
Knicklinie (a) für nicht ausgesteifte
Blechfelder bestimmt
(s. EC 3-1-1, 6.3.1.2) |
|
|
Interaktion zwischen plattenartigem und knickstabähnlichem Verhalten |
|
Der endgültige Abminderungsfaktor wird bestimmt mit |
|
|
Längs ausgesteifte Blechfelder |
|
Zunächst werden die wirksamen Flächen der Einzelfelder
(s.o. Einzelblechfelder ohne Steifen) zur Berücksichtigung
des Einzelfeldbeulens bestimmt. Anschließend wird die wirksame
Fläche
des ausgesteiften Gesamtfelds aus den wirksamen Flächen
der Steifen zur Berücksichtigung des
Gesamtfeldbeulens ermittelt (Modell der
äquivalenten orthotropen Platte). |
Die wirksame Fläche der Druckzone eines ausgesteiften Blechfelds
wird berechnet mit |
|
|
|
|
Plattenartiges Verhalten |
|
Blechfelder mit mindestens drei Längssteifen in der Druckzone,
deren Steifigkeit verschmiert werden darf, dürfen als äquivalente
orthotrope Platten nachgewiesen werden. |
Die kritische elastische Plattenbeulspannung am Blechfeldrand
mit der größten Druckspannung ergibt sich zu |
|
|
Der Beulwert kσ,p darf entweder entsprechenden Beulwerttafeln
oder mittels Computerberechnungen
ermittelt werden. |
Für längs ausgesteifte Blechfelder mit mindestens
drei äquidistant verteilten Längssteifen darf der Beulwert näherungsweise wie
folgt bestimmt werden |
|
|
Bei Blechfeldern mit ein oder zwei Steifen in der Druckzone wird das vereinfachte Modell eines Ersatzstabs mit elastischer
Bettung durch ein Blech angewandt. |
|
Bei nur einer Längssteife in der Druckzone lautet die elastische
kritische Knickspannung der Steifen |
|
|
Die kritische elastische Plattenbeulspannung wird aus σcr,sl an dem Blechfeldrand mit der größten Druckspannung
extrapoliert. |
Bei zwei Steifen in der Druckzone werden zunächst die Einzelsteifen
unabhängig voneinander, dann eine zusammengeführte
Ersatzsteife betrachtet. Die niedrigste Beulspannung ist maßgebend. |
|
Abminderungsbeiwert ρ für die äquivalente
orthotrope Platte |
|
 |
beidseitig gestützte Querschnittsteile (z.B. Steg von
I-Profilen) |
|
 |
|
|
|
 |
einseitig gestützte Querschnittsteile (z.B. Flansche
von I-Profilen) |
|
 |
|
|
|
Knickstabähnliches Verhalten |
|
Bei längs ausgesteiften Blechfeldern mit großem Seitenverhältnis
(a/b > 1) kann knickstabähnliches
Verhalten auftreten. |
Der Abminderungsbeiwert χc wird auf Grundlage der maßgebenden Knicklinie
bestimmt (s. EC 3-1-1, 6.3.1.2) |
|
|
Nach EC 3-1-5, 4.5.3(5), wird i.d.R. Knicklinie (b) für
Hohlsteifenquerschnitte und Knicklinie (c) für offene Steifenquerschnitte
verwendet. |
Imperfektionsbeiwert |
|
|
Bei ausgesteiften Blechfeldern ist α zu vergrößern
auf |
|
|
Der Knickschlankheitsgrad des Ersatzdruckstabs
ergibt sich zu |
|
|
Interaktion zwischen plattenartigem und knickstabähnlichem Verhalten |
|
Der endgültige Abminderungsfaktor wird bestimmt mit |
|
|
Nachweis |
|
 |
als Querschnittsnachweis (Th. I.O.) |
|
 |
|
|
|
 |
als Stabilitätsnachweis (Th. II.O.) |
|
 |
|
|
|
|
|
|
|
Schubbeulen |
 |
|
Für nicht ausgesteifte Blechfelder mit |
|
und für ausgesteifte Beulfelder mit |
|
|
ist ein Schubbeulnachweis zu führen. Außerdem
sind Quersteifen an den Lagern vorzusehen. |
|
Voraussetzungen |
|
 |
die Beulfelder sind rechteckig und die Flansche näherungsweise
parallel |
|
 |
soweit Steifen vorhanden sind, verlaufen diese in Längs-
und/oder Querrichtung |
|
 |
Löcher oder Ausschnitte sind klein |
|
 |
die Bauteile sind gleichförmig |
|
|
|
|
Bemessungswert der Beanspruchbarkeit |
|
Der Bemessungswert der Beanspruchbarkeit besteht aus den Anteilen
für den Steg und die Flansche und wird berechnet mit |
|
|
Beitrag des Stegs |
|
|
Der Beiwert χw ist bei Anordnung von Quersteifen an den Auflagern
(Auflagersteifen) zu berechnen mit |
|
|
|
wobei der Fall starre Auflagersteifen auch für Innenfelder
und Felder an Zwischenauflagern von durchlaufenden
Trägern gilt. |
|
Für Blechfelder, die durch starre Quersteifen begrenzt
sind und entweder keine oder mehr als zwei Längssteifen besitzen,
oder für Blechfelder mit einer oder zwei Längssteifen und a/hw ≥ 3 gilt |
|
|
Für Blechfelder mit einer oder zwei Längssteifen und a/hw < 3 gilt |
|
|
|
|
Grundwert der Beulspannung |
|
|
Beitrag der Flansche |
|
Werden die Flansche bei Annahme eines Zweipunktquerschnitts
nicht vollständig für die Querschnittsbeanspruchung ausgenutzt,
darf der Flanschbeitrag zur Schubbeanspruchbarkeit herangezogen
werden. |
|
|
Nachweis |
|
|
|
|
|
|
Querlastbeulen |
 |
|
Querlasten werden über die Flansche in den Steg eingeleitet.
Es werden drei Arten der Lasteinleitung (ohne Quersteifen) unterschieden,
die zu unterschiedlichen Beulwerten führen. |
|
|
|
Bemessungswert der Beanspruchbarkeit |
|
|
|
|
Nach NA-DE darf die Ersatzverzweigungslast für Stege mit Längssteifen
ermittelt werden zu |
|
|
Nach NA-DE ist eine genauere
Ermittlung des Beulwerts kF nach diesem Verfahren
z.B. mit Software oder
aus Literatur nicht zulässig. |
|
Der Abminderungsfaktor infolge Stegbeulen
bei Querlasten wird nach NA-DE berechnet mit |
|
|
Nachweis |
|
|
|
|
|
|
Interaktionen |
 |
|
Interaktion zwischen Schub, Biegemoment und Normalkraft |
|
Für den
Steg von Doppel-T- oder Kastenquerschnitten ist
die gleichzeitige Wirkung von Schub, Biegemoment
und Normalkraft zu untersuchen, wenn die Querkrafttragfähigkeit
des Stegs η3 > 0.5 ist. |
|
|
Das plastische
Moment Mpl,Rd wird dabei aus den effektiven
Querschnittsflächen
der Flansche und der vollen Querschnittsfläche
des Stegs (unabhängig von der Querschnittsklasse)
berechnet. |
|
Interaktion zwischen Querbelastung an den Längsrändern,
Biegemoment und Normalkraft |
|
|
Wirkt eine Querlast auf den Zugflansch, ist der Interaktionsnachweis
nicht zu führen. Allerdings ist ein elastischer Spannungsnachweis
erforderlich. |
|
Interaktion zwischen Querbelastung an den Längsrändern und
Querkraft (nur NA-DE) |
|
|
|
|
|
|
Methode der reduzierten Spannungen |
 |
|
Der Vorteil dieses Verfahrens liegt darin, dass es z.B. auch
für
Bauteile mit veränderlichem Querschnitt oder
Träger mit
Stegausschnitten anwendbar ist. |
Der Beulnachweis wird auf Grundlage
des gesamten
einwirkenden Spannungsfeldes geführt. Dabei wird die überkritische
Tragreserve von Einzelfeldern i.d.R. erfasst, nicht jedoch
die Spannungsumlagerung von hoch beanspruchten Querschnittsteilen
in weniger ausgenutzte Querschnittsteile. |
Die Tragbeulspannung
des schwächsten Querschnittsteils ist somit maßgebend
für
die Tragfähigkeit
des Gesamtquerschnitts. |
|
Voraussetzungen |
 |
soweit Steifen vorhanden sind, verlaufen diese in Längs-
und/oder Querrichtung |
|
 |
Löcher oder Ausschnitte sind klein |
|
 |
die Bauteile sind gleichförmig |
|
 |
flanschinduziertes Stegbeulen ist ausgeschlossen |
|
|
|
Traglast |
|
Bei ausgesteiften und nicht ausgesteiften Blechfeldern darf
Querschnittsklasse 3 angenommen werden, wenn gilt |
|
|
ρ ist der Reduktionsbeiwert in Abhängigkeit des Schlankheitsgrads
des gesamten Blechfeldes, der |
 |
entweder als kleinster Wert der Reduktionsbeiwerte für Platten-
(ρx), Querlast- (ρz) und Schubbeulen (χw)
zu dem Nachweisformat |
|
|
|
|
|
|
 |
oder als aus den Reduktionsbeiwerten für Platten-
(ρx), Querlast- (ρz) und Schubbeulen (χw) interpolierter
Reduktionsbeiwert zu dem Nachweisformat |
|
|
|
|
|
|
führt. Ggf. ist knickstabähnliches Verhalten bei Platten- und
Querlastbeanspruchung zu berücksichtigen. |
Bei biaxialem Druck aus Platten- und Querlastbeanspruchung wird
das gemischte Glied der Gleichung mit dem
Wert ρx · ρz multipliziert
(s. Kommentar zu DIN EN 1993-1-5, Stahlbaukalender 2012). |
Alle Reduktionsbeiwerte werden gebildet mit dem modifizierten Schlankheitsgrad
des Blechfelds |
|
|
Kann αcr nicht für das gesamte Blechfeld einschließlich
der Einzelfelder als Ganzes bestimmt werden, so dürfen getrennte
Nachweise für die Einzelfelder und das Gesamtfeld geführt werden. |
|
Liegen nur die Werte αcr,i jeweils für die Komponenten
des Spannungsfeldes vor (d.h. αcr,x für σx,Ed,
αcr,z für σz,Ed
und αcr,τ für τEd),
so darf der Wert für die gemeinsame Wirkung bestimmt werden mit |
|
|
Zur Ermittlung der Reduktionsbeiwerte ρx und χw s. Verfahren
der wirksamen Querschnittsfläche. |
|
Für Querbelastung gilt
nach NA-DE |
|
|
|
|
|
|
flanschinduziertes Stegbeulen |
 |
|
Das Einknicken des Druckflansches in den Steg ist zu vermeiden.
Daher ist unter Vernachlässigung von Steifen folgendes Kriterium
zu erfüllen |
|
|
|
|
|
|
Steifen |
 |
|
Längssteifen |
|
Bei offenen Querschnitten (z.B. Flachstahl, T-,
L-Profil) ist nachzuweisen, dass Drillknicken vermieden wird. |
Dazu
ist folgendes Kriterium zu erfüllen |
|
|
Quersteifen |
|
Quersteifen sind so auszubilden, dass sie als starre Lagerung
des Beulfelds dienen. |
Es ist i.d.R. mit einer elastischen Berechnung
nach Th.II.O. nachzuweisen, dass im GZT die maximale Spannung
in
den Steifen unter der Bemessungslast die Streckgrenze fy/γM1 nicht überschreitet und die zusätzliche Auslenkung zu der Imperfektion
den Wert b/300 nicht überschreitet. |
Unter der Annahme, dass keine Normalkräfte in den Quersteifen
vorhanden sind, dürfen beide Kriterien als erfüllt angesehen werden,
wenn gilt |
|
|
Außerdem ist bei Quersteifen mit offenen Querschnitten (z.B.
Flachstahl, T-, L-Profil) Drillknicken zu vermeiden. |
|
Liegt eine starre Auflagersteife vor, bilden zwei doppelseitig
angeordnete Quersteifen die Flansche eines kurzen Biegeträgers
der Länge hw. Die Mindestquerschnittsfläche einer doppelseitigen
Quersteife ist |
|
|
Zwischenliegende Quersteifen, die als starre Randlagerung für
die Stegbeulfelder dienen, haben i.d.R. mit dem mittragenden
Teil des Stegs folgenden Mindestbedingungen für das Flächenträgheitsmoment
zu genügen |
|
|
|
|
|
|
Querschnittsklasse |
 |
|
Querschnitte werden auf Grund ihrer geometrischen
Beanspruchbarkeit durch lokales Beulen in vier
Querschnittsklassen eingeteilt
(s. EC
3-1-1, 5.5). |
|
 |
Querschnitte der Klasse 1 können plastische Gelenke mit
ausreichender plastischer Momententragfähigkeit
und Rotationskapazität
ausbilden |
|
|
 |
Querschnitte der Klasse 2 können die plastische Momententragfähigkeit
entwickeln, haben aber nur eine begrenzte Rotationskapazität |
|
|
 |
Querschnitte der Klasse 3 erreichen für eine elastische
Spannungsverteilung die Streckgrenze in der ungünstigsten
Querschnittsfaser, können aber die plastische Momententragfähigkeit
nicht entwickeln |
|
|
 |
Querschnitte der Klasse 4 sind solche, bei denen örtliches
Beulen vor Erreichen der Streckgrenze auftritt |
|
|
|
|
Für die Beuluntersuchung bedeutet das, dass Querschnitte
der Klassen 1 bis 3 als nicht beulgefährdet bzgl. lokalen
Beulens betrachtet werden dürfen. |
Die Klassifizierung eines Querschnitts ist vom c/t-Verhältnis
seiner druckbeanspruchten Teile abhängig, wobei
die höchste Klasse eines Querschnittsteils maßgebend für die
Klasse des Gesamtquerschnitts ist. |
Die Grenzabmessungen können den folgenden Tabellen entnommen
werden. |
|
|
|
Werden keine Stabilitätsnachweise (Biegeknicken, Biegedrillknicken)
geführt, dürfen Querschnitte der Klasse 4
wie Querschnitte
der Klasse 3 behandelt werden, falls das c/t-Verhältnis,
das mit einer Erhöhung von ε um |
|
ermittelt wird, kleiner als die Grenze für Klasse 3 ist. |
Bei Querschnitten der Klasse 4 dürfen effektive Breiten
(s. EC 3-1-5, 4.4) verwendet werden, um die Abminderung
der Beanspruchbarkeit infolge lokalen Beulens zu berücksichtigen. |
|
|
|
|
|
|
 |
|
Der Grundspannungszustand des Beulfelds kann durch den ebenen
Spannungszustand einer Scheibe dargestellt werden. Die Beulsteifen
bleiben hierbei unberücksichtigt. |
Die Normalspannungen σx werden durch die vier Werte
an den Ecken des Beulfelds definiert. Hieraus resultiert
ein in beiden
Koordinatenrichtungen möglicher linearer Spannungsverlauf. |
Der Schubspannungsverlauf ist konstant. |
Am oberen oder unteren Längsrand können konzentrierte
Blockspannungen aus Querlasten einwirken. |
Zur Formulierung der Übergangsbedingungen an den Scheibenlängsrändern
wird die Belastung in Fourierreihen entwickelt. |
|
Für die Beulfläche und die Längsrandbelas-
tung
werden Reihenansätze gewählt, die prinzipiell aus unendlich
vielen Gliedern bestehen. |
Die Fourierreihenglieder nx und ny bestimmen
die maximale Anzahl an Halbwellen der Beulfigur in x-
und y-Richtung des Beulfelds. |
Die Längs- und Quersteifenanordnungen
sind hierbei die Bestimmungsgrößen. |
Die Güte der Approximation der
Querbelas-
tung durch die Fourierreihenentwicklung sinkt
mit geringer werdender Lastausbreitung, so dass für die Approximation
von lokal eng begrenzten Querspannungen (z.B. infolge
Radlasteinleitung) ein größerer
Wert nq für
die Anzahl an Fourierreihenglieder vorzusehen ist als
für
die Entwicklung einer Querspannung über die gesamte
Beulfeldlänge. |
|
 |
|
|
Die Anzahl der berücksichtigten Reihenglieder bestimmt
demzufolge die Genauigkeit, mit der die vorhandene
Belastung angenähert wird, und damit auch wesentlich den Spannungszustand der Scheibe. |
|
Berechnungsverfahren |
 |
Zur Lösung des Beulproblems wird die Energiemethode
verwendet, mit der das Variationsproblem |
|
formuliert werden kann. Mit π0 wird die potentielle Energie
des Grundzustands bezeichnet. |
Unter Anwendung des Ritz'schen Verfahrens wird das
Variationsproblem auf eine Extremwertaufgabe reduziert. |
Als Ansatzfunktion für die Beulfigur wird die Doppelsinusreihe |
|
gewählt, die an allen Rändern die Navier'schen
Randbedingungen erfüllt. |
Durch die Variationen nach den unbekannten Ritzparametern
erhält man das allgemeine Eigenwertproblem |
|
Die Ordnung des Eigenwertproblems hängt
direkt von den berücksichtigten Reihengliedern ab. |
Mit nx Reihengliedern in x-Richtung und
ny Reihengliedern
in y-Richtung ergibt sich die Ordnung des Gleichungssystems zu |
|
Das Beulproblem reduziert sich also auf die Aufgabe,
den kleinsten Eigenwert αcr = min ki des
Eigenwertproblems zu bestimmen, da sich mit diesem die niedrigste
Verzweigungslast
ergibt. |
Im kritischen Nachbarzustand nimmt die gewählte
Bezugsspannung σEd dann den Wert |
|
an. Bei kombinierter Belastung wird vorausgesetzt,
dass alle Spannungen im gleichen Verhältnis bis zur Beulgrenze
anwachsen. Mit dieser Bedingung erhält man einen von der Bezugsspannung
unabhängigen Beulwert. |
|
Lösung des Eigenwertproblems |
|
Zur Ermittlung des Eigenwerts wird das
Jakobi-Verfahren (Rotationsverfahren) eingesetzt. Dieses Verfahren
ist unempfindlich für Ausnahmefälle wie betragsnahe oder
betragsgleiche Eigenwerte und es liefert alle Eigenwerte
des Problems. |
Ausgehend von dem Matrizeneigenwertproblem (s.o.) |
|
werden die beiden reell-symmetrischen Matrizen A und B simultan durch eine Kongruenztransformation auf die Diagonalmatrizen L und I überführt. |
|
Für Längsrandbelastung und Beulfläche werden Fourierreihenansätze
gewählt, die prinzipiell aus unterschiedlich
vielen Gliedern bestehen
können. |
Die Anzahl der Reihenglieder bestimmt die Ordnung
des zu lösenden Gleichungssystems und den auftretenden Abbruchfehler. |
Der Abbruchfehler bei einer bestimmten Anzahl von
Reihengliedern hängt von vielen Parametern ab. Besonders
erwähnt
seien hier die Anzahl und Steifigkeit der Beulsteifen und die Belastungsart.
Bei komplexen Systemen
ist es ratsam, den Abbruchfehler durch Testrechnungen
mit veränderter Anzahl der Reihenglieder abzuschätzen. |
|
Literatur zur Beulwertberechnung |
 |
 |
Kuhlmann, U. etc.: Competitive steel and
composite bridges by innovative steel-plated structures,
Final Report, Research Fund for Coal an Steel, European
Communities, 2008 |
|
 |
Kindmann, R., Kraus, M.: Finite-Elemente-Methoden
im Stahlbau, Bauingenieur-Praxis,
Verlag Ernst & Sohn,
2013 |
|
 |
Klöppel, K., Scheer, J.: Beulwerte
ausgesteifter Rechteckplatten, Verlag Ernst & Sohn,
Berlin 1960 |
|
 |
Klöppel, K., Möller, K.-H.:
Beulwerte ausgesteifter Rechteckplatten, Band 2, Verlag
Ernst & Sohn, Berlin
1968 |
|
 |
Protte, W.: Zum Scheiben- und Beulproblem
längsversteifter Stegblechfelder bei örtlicher Lasteinleitung
und bei Belastung aus Haupttragwirkung, Techn. Mitt.
Krupp, Forschungsbericht, Band 33, Heft 2, 1975 |
|
 |
Pflüger, A.: Stabilitätsprobleme der Elastostatik,
Springer-Verlag, Berlin 1964 |
|
|
|
Implementierung in 4H-EC3BL |
 |
Sowohl für die Einzelfelder ohne Steifen als
auch für das Gesamtfeld mit Längssteifen wird der Beulwert,
d.h. der Vergrößerungsfaktor zum Erreichen der kritischen
Verzweigungslast
αcr, bezogen auf die gesamte einwirkende Spannung σEd,
τEd und/oder die einwirkende Querlast Fz,Ed ermittelt. |
Dazu werden die Spannungen σEd, τEd am
Bruttoquerschnitt, d.h. einschließlich der Längssteifen,
nach Abminderung der Flanschbreiten infolge Schubverzerrung
berechnet. |
Die Anzahl der zu berücksichtigenden Reihenglieder
nx, ny, nq berechnet das Programm
in Abhängigkeit
der geometrischen Bedingungen automatisch. Die Genauigkeit
des Resultats wird mittels Iteration gewährleistet. |
|
Beim Verfahren der wirksamen Fläche ergibt sich
dann die kritische Verzweigungslast für
das Platten- und Schubbeulen zu |
|
die in die Berechnung des Beulschlankheitsgrads λ eingehen. |
Diese genauere Ermittlung der Beulwerte
darf für den Beulnachweis unter Querspannung nicht
angewendet
werden. |
|
Bei der Methode der reduzierten Spannungen wird mit
dem Laststeigerungsfaktor
αcr direkt der bezogene Beulschlankheitsgrad
λ ermittelt. |
|
Die Beulwertberechnung von langen schlanken Beulfeldern
mit einer gering dimensionierter Querspannung σz,Ed
ist besonders aufwändig, da die Genauigkeit des Ergebnisses im Besonderen abhängig ist
von der Anzahl an Reihengliedern in Längsrichtung des Beulfelds. |
Aufgrund der durch die Beulfeldlänge beeinflussten
zunehmenden Längsspannung (das Moment unter der Querlast wächst
an) verringert sich der Beulwert mit zunehmendem Längen-/Höhenverhältnis. |
Bei Variationen der Beulfeldlänge fällt
auf, dass ab einem Längen-/Höhenverhältnis von etwa
10 die berechneten Beulwerte stark absinken. |
pcae empfiehlt daher, das Verhältnis der Beulfeldabmessungen
auf Länge/Breite = 10 zu begrenzen. |
|
|
|
 |
|
|