 |
|
Seite überarbeitet Februar 2024 |
 |
Kontakt |
 |
|
 |
Programmübersicht |
 |
|
 |
Bestelltext |
 |
|
|
Infos auf dieser Seite |
... als pdf |
 |
|
 |
 |
Eingabeoberfläche ................. |
 |
|
 |
Ergebnisübersicht .................. |
 |
|
 |
Elast. Spannungsnachweis .... |
 |
|
 |
Berechnungseinstellungen ..... |
 |
|
 |
Konturenplot .......................... |
 |
|
 |
Plast. Spannungsnachweis .... |
 |
|
 |
Schnittgrößen ....................... |
 |
|
 |
Querschnittsnachweise .......... |
 |
|
 |
Nachweise Aluminium ............ |
 |
|
 |
Schnittgrößenimport .............. |
 |
|
 |
Theorie ................................. |
 |
|
 |
Beschreibung Ergebnisse ....... |
 |
|
|
|
|
 |
|
 |
|
Bild vergrößern |
 |
|
|
|
|
|
 |
Querschnittsnachweise EC 3 und EC 9 |
Das Programm 4H-EC3QN
führt die Spannungsnachweise
für beliebige Querschnitte unter zweiachsiger
Belastung nach Eurocode
3 (Stahl) bzw. Eurocode 9 (Aluminium). |
|
|
|
Die zugehörigen Eingabeparameter werden
in eigenen Registerblättern verwaltet, die über folgende
Symbole
die dahinter liegende Parameterauswahl kenntlich machen. |
|
 |
|
 |
Im ersten Registerblatt werden die
wesentlichen Parameter zum Ablauf der Berechnung
festgelegt. |
Dazu gehören die Materialangaben,
die Materialsicherheitsbeiwerte, die Querschnittsgeometrie.
Weiterhin können die zu führenden
Nachweise ausgewählt werden. |
Der Querschnitt wird zur Info maßstäblich am Bildschirm
dargestellt. |
|
|
|
 |
|
 |
Die Schnittgrößen werden
im zweiten Registerblatt festgelegt und können entweder 'per Hand'
eingegeben oder aus einem 4H-Stabwerksprogramm importiert werden. |
|
|
|
 |
|
 |
Im dritten Registerblatt werden
die Ergebnisse (Ausnutzungen) lastfallweise und
detailliert im Überblick
dargestellt. |
|
|
|
 |
|
 |
Im vierten Registerblatt werden ausgewählte
Ergebnisse als Konturenplot dargestellt. |
|
|
|
 |
|
 |
Weiterhin ist zur vollständigen
Beschreibung der Berechnungsparameter der dem Eurocode
zuzuordnende nationale Anhang zu wählen. |
Über den NA-Button wird das entsprechende Eigenschaftsblatt aufgerufen. |
|
|
|
 |
|
 |
Im Eigenschaftsblatt, das nach Betätigen
des Druckeinstellungs-Buttons
erscheint, wird der Ausgabeumfang der Druckliste festgelegt. |
|
|
|
 |
|
 |
Das Statikdokument kann durch Betätigen
des Visualisierungs-Buttons am Bildschirm
eingesehen werden. |
|
|
|
 |
|
 |
Über den Drucker-Button
wird in das Druckmenü gewechselt,
um das Dokument auszudrucken. |
Hier werden auch die Einstellungen
für die Visualisierung vorgenommen. |
|
|
|
 |
|
 |
Über den Pläne-Button
wird das pcae-Programm zur Planbearbeitung aufgerufen. |
Der aktuelle Querschnitt wird im pcae-Planerstellungsmodul
dargestellt, kann dort
weiterbearbeitet, geplottet oder im DXF-Format exportiert werden. |
|
|
|
 |
|
 |
Über den Hilfe-Button
wird die kontextsensitive Hilfe zu den einzelnen Registerblättern aufgerufen. |
|
|
|
 |
|
 |
Das Programm kann mit oder ohne Datensicherung verlassen werden. |
Bei Speichern der Daten wird die
Druckliste aktualisiert und in das globale Druckdokument
eingefügt. |
|
|
|
|
 |
|
 |
im Register 1 (s. Eingabeoberfläche) werden die
allgemeinen
Einstellungen der Berechnung festgelegt. |
|
|
Material |
 |
|
Der Querschnitt kann aus Stahl oder Aluminium bestehen. |
|
|
|
Da die Beschreibung der Stahlparameter für eine
Berechnung nach EC 3 programmübergreifend identisch ist,
wird auf die
allgemeine Beschreibung der Stahlsorten verwiesen. |
|
Aluminium |
|
|
|
|
Aktuell werden
folgende Aluminiumlegierungen (typisiert in EC 9-1-1, 3.2.2) vorgehalten |
|
Knetlegierungen für Bleche, Bänder und Platten
(s. Tab. 3.2a) |
 |
EN-AW 3004 |
 |
EN-AW 3005 |
 |
EN-AW 3103 |
 |
EN-AW 5005 / 5005A |
 |
EN-AW 5052 |
 |
EN-AW 5049 |
 |
EN-AW 5454 |
 |
EN-AW 5754 |
 |
EN-AW 5083 |
 |
EN-AW 6061 |
 |
EN-AW 6082 |
 |
EN-AW 7020 |
 |
EN-AW 8011A |
|
|
Knetlegierungen für Strangpressprofile, stranggepresste
Rohre, Stangen und gezogene Rohre (s. Tab. 3.2b) |
 |
EN-AW 5083 |
 |
EN-AW 5454 |
 |
EN-AW 5754 |
 |
EN-AW 6060 |
 |
EN-AW 6061 |
 |
EN-AW 6063 |
 |
EN-AW 6005A |
 |
EN-AW 6082 |
 |
EN-AW 7020 |
|
|
Knetlegierungen für Schmiedeerzeugnisse (s. Tab. 3.2c) |
 |
EN-AW 5754 |
 |
EN-AW 5083 |
 |
EN-AW 6082 |
|
|
Natürlich können die zur Bemessung in diesem
Programm verwendeten Parameter verändert und an geeignete Produktnormen
angepasst werden. |
|
|
|
Die 'Legierung' steht somit als Synonym für
die charakteristischen Werte der 0.2%-Dehngrenze fo und
der Zugfestigkeit fu sowie den Elastizitätsmodul
E, die für die Berechnung verwendet werden. |
|
Zur genaueren Bezeichnung der Legierung steht ein
Text-Eingabefeld zur Verfügung. |
|
Materialsicherheitsbeiwerte |
 |
|
Für den Spannungsnachweis n. EC 3-1-1 wird
folgender Materialsicherheitsbeiwert verwendet |
|
|
|
Aluminium hat n. EC 9-1-1 folgenden Sicherheitsbeiwert |
|
|
|
Die Werte können entweder den entsprechenden Normen
(s. Nationaler Anhang)
entnommen oder
vom Anwender vorgegeben werden. |
|
Allgemeines |
 |
|
Im Programm 4H-EC3QN
besteht die Möglichkeit, die Eingabedaten über die
Copy-Paste-Funktion von einem
Bauteil in ein anderes desselben
Typs zu exportieren. |
|
|
|
Dazu ist der
aktuelle Datenzustand im abgebenden Bauteil über den Button Daten exportieren in
die
Zwischenablage zu kopieren und anschließend über den Button Daten
importieren aus der Zwischenablage
in das aktuell geöffnete andere Bauteil zu übernehmen. |
|
|
|
Das externe Programm wird über den
gelb unterlegten Aktions-Button mit dieser Vorgabe aufgerufen. |
In einer grafischen Oberfläche kann
dort der Querschnitt konstruiert oder aus einer Bibliothek
geladen und an das aufrufende Programm 4H-EC3QN übergeben werden. |
Der 4H-QUER-Querschnitt
muss den Vorgaben (dünnwandig oder dickwandig) entsprechen. |
Weitere Informationen zur Bedienung des Programms 4H-QUER
s. zugehöriges Handbuch. |
|
Zur visuellen Kontrolle der Eingabeparameter
wird der Querschnitt maßstabsgetreu am Bildschirm dargestellt. |
Schwerpunkt S, Schubmittelpunkt
M und die Hauptachsen sind markiert. |
|
|
 |
|
Spannungsnachweis |
 |
|
Das Programm 4H-EC3QN
bietet drei elastische und drei plastische Spannungsnachweise an. |
Die nachweisbezogenen Einschränkungen bzgl.
Material, Querschnittstyp oder Schnittgrößen sind
am Bildschirm angegeben. |
Optional können ein elastischer und ein plastischer
Nachweis in einem Rechengang geführt werden. |
Die Beschreibung der Nachweise erfolgt hier. |
|
Bedingung für die Gültigkeit der Verfahren ist,
dass der Querschnitt nicht beulgefährdet ist. Ein vereinfachter
Beulnachweis wird über das c/t-Verhältnis erbracht. Ein entsprechender
Nachweis kann deaktiviert werden. |
Der Querschnitt kann elastisch oder plastisch nachgewiesen werden, wobei die Schnittgrößen
elastisch
berechnet werden. |
Die Anwendungsvoraussetzungen
für die einzelnen Verfahren sind am Bildschirm in Kurzform
und in der folgenden Tabelle ausführlich dargestellt. |
|
Zur Info ist zusätzlich angegeben, bei welchen
Querschnittstypen Verwölbung auftreten kann. |
Mit einem Sternchen sind diejenigen Nachweise
gekennzeichnet, deren Ergebnisse als Konturenplot darstellbar
sind. |
|
Konturenplot |
 |
|
Die Ergebnisse der gekennzeichneten Nachweise können je Lastkombination
als Konturenplot und/oder tabellarisch ausgegeben werden. |
|
Für jeden Ergebnissatz wird zusätzlich zu
den resultierenden Nachweisergebnissen ein eigener Konturenplot
ausgegeben, wohingegen die Tabelle um
die gewählten
Ergebnisspalten erweitert wird. |
|
In den Tabellen können entweder sämtliche
Knotenergebnisse (nicht empfehlenswert) oder die je Ergebnisspalte
maßgebenden Ergebnissätze (s. Ausdrucksteuerung, optimierte
Tabelle) zeilenweise dargestellt werden. Die Extremalwerte
sind markiert. |
|
Wird einzig eine elastische Berechnung mit der
Finite-Elemente-Methode durchgeführt, kann
in der schlussendlichen Zusammenfassung die flächenverteilte
Ausnutzung des Querschnitts als
Resultierende
aller Lastkombinationen grafisch und tabellarisch ausgegeben
werden. |
|
Bei besonders komplexen Querschnittsformen
ist es übersichtlicher, den Konturenplot in Großformat
auszugeben. |
Außerdem kann die Farbpalette analog der Visualisierung gewählt werden. |
|
Der Übersichtlichkeit halber kann an
dieser Stelle die Verwendung von Torsion oder Verwölbung
ausgeschaltet werden. |
Im Register Schnittgrößen wird
die Einstellung berücksichtigt, indem die entsprechenden
Tabellenspalten
deaktiviert werden. |
|
Versierte Programmanwender (Profis) können
die verwendeten Verfahren beeinflussen. |
Die Bedeutungen der
Einstellungen
werden
bei
Beschreibung
der Nachweisverfahren erläutert. |
pcae empfiehlt, die folgenden Parameter nicht
zu ändern |
|
|
|
|
|
 |
|
 |
das zweite Register beinhaltet die
Masken zur Eingabe der Bemessungsschnittgrößen |
|
|
 |
|
Bild vergrößern |
 |
|
|
|
|
Die Schnittgrößen werden als Bemessungsgrößen
mit der Vorzeichendefinition
der Statik eingegeben, wobei das x,y,z-Koordinatensystem
dem l,m,n-System
der pcae-Tragwerksprogramme entspricht. |
Es können bis zu 10.000 Schnittgrößenkombinationen eingegeben werden. |
|
 |
Bei
Übernahme der Schnittgrößen aus einem Tragwerksprogramm ist
zu beachten, dass sie sich auch bei unsymmetrischen Querschnitts-profilen (z.B. L-Profil) auf das
Stab-Koordinatensystem
und nicht auf
das Hauptachsensystem (pcae-Bezeichnung: ξ,η,ζ)
beziehen! |
|
|
|
|
|
|
 |
|
Die Schnittgrößen können wahlweise in folgenden Einheiten
vorliegen |
|
|
|
 |
|
Im Standardfall |
|
 |
bewirken die Schnittgrößenkombinationen
N, My, Vz eine Biegung um die starke
Achse des Querschnitts |
|
 |
bewirken die Schnittgrößenkombinationen
N, Mz, Vy eine Biegung um die schwache
Achse des Querschnitts |
|
 |
ist das Torsionsmoment Tt (St.Venant'sche
bzw. primäre Torsion) nur für Hohl- und Vollquerschnitte
relevant |
|
 |
wirken die Verwölbungsgrößen Tω, B
(sekundäre Torsion, Bimoment) nur bei Querschnitten
mit abstehenden Querschnittsteilen |
|
|
|
Sind Torsions- oder Verwölbungsschnittgrößen für den
betrachteten Querschnitt nicht maßgebend und sollen nicht untersucht
werden, können die entsprechenden Schnittgrößenspalten deaktiviert
werden, indem in Register 1 der
Profi-Button aktiviert und die entsprechende
Option abgewählt wird. |
Die Zahlenwerte in den Spalten sind grau dargestellt,
können jedoch weiter bearbeitet werden. Bei der Bemessung werden
diese Schnittgrößen ignoriert. |
|
Da bei unsymmetrischen Querschnitten die Querschnittsachsen
nicht mit der Hauptachsenrichtung übereinstimmen, besteht die Möglichkeit,
die Schnittgrößen wahlweise auf die Querschnittsachsen
oder
Hauptachsen zu beziehen. |
|
 |
|
Die Bezeichnung der Schnittgrößen M und V wird entsprechend
angepasst. |
|
 |
Die Berechnung
des Hauptachsenwinkels ist nicht eindeutig.
pcae empfiehlt,
die Schnittgrößen auf die Querschnittsachsen zu
beziehen. |
|
|
|
|
|
 |
|
 |
das dritte Register gibt einen Überblick über
die ermittelten Ergebnisse |
|
|
Zur sofortigen Kontrolle werden die Ergebnisse in diesem Register lastfallweise übersichtlich
zusammengestellt. |
|
 |
|
Eine Box zeigt an, ob ein Lastfall die Tragfähigkeit
des Anschlusses überschritten hat (rot ausgekreuzt)
oder wie viel Reserve noch vorhanden ist (grüner Balken). |
Bei bis zu zehn Lastkombinationen werden zur Fehleranalyse
oder zur Einschätzung
der Tragkomponenten
die Einzelberechnungsergebnisse
protokolliert. |
Die maximale Ausnutzung wird sowohl als 'Gesamt' unterhalb
der Zusammenstellung als auch am oberen
rechten Fensterrand angezeigt. |
Ebenso wird die maßgebende Lastkombination gekennzeichnet
und kann über den Aktionslink direkt in der
Druckliste eingesehen
werden. |
|
 |
|
Eine Meldung zeigt an, wenn ein Fehler aufgetreten
oder die Tragfähigkeit überschritten ist. |
Wenn die Ursache des Fehlers nicht sofort ersichtlich ist, sollte
die Druckliste in der ausführlichen Ergebnisdarstellung geprüft
werden. |
|
|
|
 |
|
 |
das vierte Register stellt für
einige Nachweisverfahren die Ergebnisse grafisch dar. |
|
|
 |
|
Bild vergrößern |
 |
|
|
|
|
Dazu gehören die Ergebnisse
der elastischen Berechnung mit dem Verfahren für dünnwandige Querschnitte
und der Methode der Finiten Elemente sowie der plastischen Berechnung
mit
dem Verfahren
der Dehnungsiteration. |
Es werden die Dehnungen ε, die Spannungen
σx, τ, σv und die Traglastausnutzung
U
visualisiert. |
|
|
|
Liegen sowohl aus der elastischen als auch
der plastischen Berechnung Ergebnisse vor, wird zunächst
aus einer Listbox
der Nachweistyp festgelegt. |
'E-E' steht für den elastischen, 'E-P' für
den plastischen Querschnittsnachweis. |
Sind Ergebnisse für nur einen Nachweistyp vorhanden,
wird die Listbox nicht angezeigt. |
|
|
|
|
Sind elastische Nachweisergebnisse vorhanden,
wird In einer weiteren Listbox der Darstellungstyp festgelegt. |
Das erste Listenelement bezeichnet den Konturenplot,
der für
sämtliche
Ergebnisse zur Verfügung steht und über eine abgestufte
Palette den Werteverlauf darstellt. |
Für ein besseres Verständnis der räumlichen
Verformung kann das zweite Listenelement, die Deformationsgrafik,
zur Darstellung der Dehnungen angewählt werden. |
|
|
|
Ergebnisse der plastischen Berechnung können nur als
Konturenplot angezeigt werden. |
|
Aus
einer weiteren Listbox wird nun eine Lastkombination ausgewählt. |
Zusätzlich zu den Lastkombinationen können
die Ergebnisse, die zur maximalen Ausnutzung gehören, dargestellt
werden. |
|
|
|
|
Es stehen die Ergebnisse der |
|
|
|
zur Verfügung. |
|
|
|
Die Zahlenwerte der Ergebnisse werden angezeigt, wenn
der Maus-Cursor über die Grafik bewegt wird. |
|
Aus zwei Farbpaletten kann die
Einfärbung
des Konturenplots für Dehnungen und Normalspannungen gewählt
werden. |
Die Bandbreite der Palette wird in der Legende
angezeigt und
bildet jeweils den Extremwert positiv und
negativ ab. |
|
|
|
|
Können die Ergebniswerte nicht
negativ werden (Schubspannung, Vergleichsspannung, Ausnutzung),
wird eine neutrale Palette verwendet. |
Auch hier wird die Bandbreite angezeigt. |
|
|
|
Sonderfall: Die Ausnutzung hat eine feste Bandbreite
von 0 bis 1. Überschreitet die vorhandene Ausnutzung den maximal
zulässigen
Bereich, werden die Querschnittsflächen rot eingefärbt. |
|
Darstellung der Ergebnisse am
Bildschirm (Beispiel: U 100 mit Wölbbimoment BEd =
0.15 kNm2) |
|
 |
Konturenplot der Ausnutzungen mit Angabe eines
beliebig ausgewählten
Berechnungswerts. |
Die maximale Ausnutzung ist protokolliert.
Bereiche, in denen U ≥ 1, sind rot unterlegt. |
|
 |
|
|
|
 |
Deformationsgrafik der Querschnittsdehnungen.
Die Extremalwerte sind angegeben.
Zur Orientierung ist
das
unverformte
System
in grau eingefügt. |
|
 |
|
|
|
Zur Darstellung des Druckdokuments s. Beschreibung
der Ergebnisse. |
|
|
|
 |
|
Es werden sechs Spannungsnachweise, davon drei für den
elastisch-elastischen und drei für den
elastisch-plastischen Nachweis
angeboten. |
Die Schnittgrößenermittlung
erfolgt auf Grundlage der Elastizitätstheorie, der Nachweis kann
elastisch und plastisch geführt
werden. |
 |
elastischer Spannungsnachweis |
|
|
|
|
|
|
|
 |
plastischer Spannungsnachweis |
|
|
|
|
|
|
|
Zusätzlich kann für dünnwandige Querschnitte der vereinfachte
Beulnachweis (c/t-Nachweis) in die Berechnung der Tragfähigkeit
einbezogen werden. |
Die Nachweise sind teilweise eingeschränkt, d.h. für einige
Querschnittstypen oder bestimmte Schnittgrößenarten
nicht
nutzbar. |
Bei einigen Nachweisen kann eine Analyse der Spannungen
und Dehnungen über Querschnittsgrafiken am
Bildschirm durchgeführt werden. |
Die auf den Querschnitt einwirkenden Schnittgrößen erzeugen
Spannungen, die materialspezifische Grenzwerte
nicht überschreiten dürfen. |
Aus Normalkraft N und Biegemomenten M resultieren Normalspannungen σx, aus Querkräften
V und einem Torsionsmoment Tt resultieren Schubspannungen τ. |
Wirken die Querkräfte nicht im Schubmittelpunkt, wird zusätzliche Torsion
erzeugt. Aufgrund des primären Torsionsmoments Tt kann eine Querschnittsverwölbung
hervorgerufen werden, die zu einem sekundären Torsionsmoment Tω (zus. τ-Anteil) und einem Wölbbimoment B (zus.
σx-Anteil) führt. |
|
Der elastische Spannungsnachweis erfolgt mit dem Fließkriterium
aus DIN EN 1993-1-1, 6.2.1(5) |
|
Punktweise wird die Ausnutzung des Querschnitts berechnet mit |
|
Die Berechnung der Normalspannungen erfolgt mit |
|
wobei sich η, ζ auf das Hauptachsensystem beziehen (s. Theorie). |
|
Die Unterschiede in den Verfahren zum elastischen Querschnittsnachweis
liegen in der Berechnung der Schubspannungen aus Querkraft und Torsion. |
|
Der plastische Spannungsnachweis wird ganzheitlich
am Querschnitt betrachtet und für Normal- und Schubspannungen gemeinsam
durchgeführt. Die Querschnittsausnutzung wird über
Laststeigerung ermittelt
(nicht bei EC 3-1-1, 6.2). |
Der plastische Nachweis erfolgt nur für Stahlquerschnitte. |
Nach EC 3-1-1, 5.5, ist über die Klassifizierung der Querschnitte
die Begrenzung der Beanspruchbarkeit und Rotationskapazität durch
lokales Beulen festzustellen. |
Querschnitte der Klassen 1 und 2 dürfen
plastisch und elastisch nachgewiesen werden, für Querschnitte in
Klasse 3 kann nur der elastische Nachweis geführt werden. Querschnitte
in höheren Querschnittsklassen sind beulgefährdet und müssen gesondert
untersucht werden. |
Die Querschnittsklassifizierung erfolgt nach dem c/t-Verhältnis der
druckbeanspruchten Querschnittsteile,
wobei c der Länge des Querschnittsteils
und t dessen Dicke entspricht. |
Die Ausnutzung berechnet sich mit |
|
|
|
 |
|
Im Folgenden werden die theoretischen Grundlagen zur
Berechnung der Querschnittswerte dargelegt. |
|
 |
Beachte: Das hier eingeführte l,m,n-Koordinatensystem entspricht
dem x,y,z-Koordinatensystem
der Querschnittsnachweise. |
|
|
|
|
|
|
Die klassische Stabtheorie geht von der Formerhaltung des Querschnitts aus. Die Querschnittslage lässt sich
im lokalen
xyz-Querschnittskoordinatensystem über drei Verschiebungen ux, uy,
uz und drei Verdrehungen
φx, φy,
φz beschreiben. |
|
In der Theorie der Wölbkrafttorsion wird die Verwölbung des Querschnitts durch
das Produkt der Einheitsverwölbung ω
mit der Verwindung ψx beschrieben. |
Neben dem xyz-Querschnittskoordinatensystem, in dem der Querschnitt modelliert wird, gibt es weiterhin das durch den Schwerpunkt
S mit den Koordinaten (ey, ez) verlaufende lmn-System, dessen Achsen parallel
zu den xyz-Achsen verlaufen (Entkopplung der Fläche und der Trägheitsmomente), sowie
das durch S verlaufende
ξηζ-Hauptachsensystem (Entkopplung der Trägheitsmomente). |
Zur Beschreibung der Torsion wird der
Schubmittelpunkt M
mit den Koordinaten (yM, zM) als Drehpunkt verwendet
(z.B. normierte Einheitsverwölbung ω, Entkopplung der Biegung und Wölbkrafttorsion). |
Die Berechnung der Querschnittswerte und der Spannungen
aus Biegung erfolgt am vollständigen Modell mit Verschneidungen,
Abschrägungen und Ausrundungen. |
Die Verteilung der Schubflüsse, der Schubspannungen und der Verwölbung längs der Mittellinien
wird am Linienmodell unter Berücksichtigung der veränderlichen Dicke ermittelt. |
|
 |
|
|
|
 |
Schwerpunkt, Trägheitsmomente und Hauptachsen |
|
|
 |
|
Bei einer konstanten Spannungsverteilung verschwinden die Biegemomente im Schwerpunkt. |
Die Schwerpunktskoordinaten
(ey, ez) lassen sich mit der Querschnittsfläche A und den statischen
Momenten Sy
bzw. Sz berechnen. |
|
|
|
Mit den Trägheitsmomenten im Schwerpunkt lassen sich im linear elastischen Fall aus der Dehnung εS und den Krümmungen κm, κn die Schnittgrößen der Biegung ermitteln. |
|
|
|
Das ξηζ-Hauptachsensystem ist bzgl. des Querschnittskoordinatensystems um den Winkel α verdreht. |
Im
Hauptachsensystem ist das Deviationsmoment Imn gleich Null, so dass die Krümmungen und Momente der
Hauptbiegerichtungen entkoppelt sind. |
|
|
|
Der Hauptachsendrehwinkel ist bis auf ein Vielfaches von 90° bestimmt. Der Winkel wird so gewählt, dass er
bzgl.
des Querschnittskoordinatensystems betragsmäßig möglichst klein ist. |
|
|
 |
Verwölbung und Schubmittelpunkt |
|
|
 |
|
Für dünnwandige Querschnitte berechnet sich die Wölbordinate ωD,0 für den Drehpunkt D mit den
Koordinaten
(yD, zD) als Integral des Hebelarms rD der
Querschnittspunkte zum Drehpunkt längs der Profilkoordinate s
(β: Winkel der Tangente an die Mittellinie). |
|
|
|
Es wird davon ausgegangen, dass die Verwölbung in Dickenrichtung konstant ist. Die mittlere Querschnittsdehnung
der
zugehörigen Einheitsverwölbung ωD ist Null, so dass bei reiner Verwölbung (im linear elastischen
Fall) keine Normalkraft vorhanden ist. |
|
|
|
Die Einheitsverwölbungen mit den Drehpunkten (yD, zD) und
(yM, zM) stehen in folgender Beziehung |
|
|
|
Der Schubmittelpunkt (yM, zM) ist der Drehpunkt, für den bei reiner Verwölbung
(im linear elastischen Fall) keine Biegemomente auftreten. Für den Abstand (ySM, zSM)
des Schubmittelpunkts vom Schwerpunkt ergibt sich |
|
|
|
|
 |
Schnittgrößen und Spannungen |
|
|
 |
|
Die Schnittgrößen ergeben sich durch Integration der Normal- bzw. Schubspannungen über den Querschnitt. |
Die Schnittkräfte
wirken in Richtung der verformten Querschnittsachsen, die Momente drehen um die
entsprechenden Achsen in positiver Richtung
(Rechte-Hand-Regel). |
|
|
|
Mit den Biegemomenten im Hauptachsensystem, den Torsionsschnittgrößen um den Schubmittelpunkt
und den entsprechenden Trägheitsmomenten
können im linear elastischen Fall die Normalspannungen
aus den Schnittgrößen ermittelt werden. |
|
|
|
Für dünnwandige Querschnitte werden zur Berechnung des Schubflusses T und der Schubspannung τxs in
Richtung der Profilmittellinien die statischen Momente Sη, Sζ,
Sω und die Profildicken t in Abhängigkeit der Profilkoordinate s benötigt. |
|
|
|
Tt ist dabei das primäre Torsionsmoment aus St. Venant'scher Torsion und Tw das sekundäre Torsionsmoment
aus Wölbkrafttorsion. |
Für Querschnitte mit geschlossenen Zellen kommen noch Schubspannungen
aus den Schubflüssen der
einzelnen Zellen hinzu. |
Die Faktoren θ entsprechen den Einheitsschubflüssen der entsprechenden Schnittgröße. |
Die Schubspannungen aus Vη, Vζ und Tw bzw.
Tt der Zellen sind nach Voraussetzung konstant in Dickenrichtung. |
Die Schubspannung aus Tt der einzelnen Querschnittslinien ist in Dickenrichtung linear veränderlich und
verschwindet auf der Mittellinie. |
|
|
|
Neben dem primären Torsionsmoment Tt tritt bei Berechnungen nach Theorie II. Ordnung unter Berücksichtigung
des Wagner-Effekts das Torsionsmoment Tσ infolge Normalspannungen auf. |
|
|
|
Der Wagner-Koeffizient Kσ lässt sich aus den Schnittgrößen im Hauptachsensystem berechnen. |
|
|
|
Die Querschnittsstrecken ergeben sich durch Integration des Quadrats des Schwerpunktabstands rS über
den Querschnitt. |
|
|
|
|
|
Die Schubkorrekturfaktoren werden zur Ermittlung der Schubflächen bzw. Schubsteifigkeiten bei der Berechnung
von schubweichen
Stäben benötigt. |
Die mittleren Schubgleitungen γxy und γxz stehen mit
den zugehörigen Querkräften in Beziehung. |
|
|
|
ϑTy und ϑTz sind dabei die Einheitsschubflüsse der Querkräfte in y-
und z-Richtung. |
Aus den κ-Werten lassen sich die Schubkorrekturfaktoren in einem um den Winkel α verdrehten
Koordinatensystem berechnen. |
|
|
|
|
|
Falls nicht alle Querschnittsteile miteinander verbunden sind, liegt ein mehrteiliger Querschnitt vor. |
Bei
einem mehrteiligen Querschnitt wird davon ausgegangen, dass die
einzelnen Teile durch Riegel oder Platten so miteinander gekoppelt
sind, dass sie sich affin zueinander verformen. |
Den Schubmittelpunkt des Gesamtquerschnitts erhält man durch gewichtete Summation der Schubmittelpunkte der Teile. Die
Verwölbung mit dem Schubmittelpunkt (yM, zM) als Drehachse des i-ten Teils im
Gesamtquerschnitt kann aus der Verwölbung des Teils mit dem i-ten Schubmittelpunkt (yM,i,
zM,i) als Drehachse berechnet werden. |
Die Verschiebung u in Richtung der Stabachse bzw. die
Längsspannung für den linear-elastischen Fall kann
dann lokal für jedes Teil formuliert werden. |
|
|
|
Die Querschnittsteile können biegesteif oder biegeschlaff miteinander verbunden sein. Die Verteilung der
Normalkräfte hängt
vom Grad α der Biegekopplung ab (biegesteif: α = 1, biegeschlaff: α = 0). |
Der Wert von α hat über
den Steiner-Anteil der Teile Einfluss auf die Trägheitsmomente des Gesamtquerschnitts. |
Die Querschnittswerte des Gesamtquerschnitts erhält man durch Summation der Querschnittswerte der Teile. |
|
|
|
Die Normalkräfte verteilen sich im Verhältnis der Teilflächen. |
|
|
|
Wenn die Krümmungen der Querschnittsteile identisch sind, lassen sich die (linear elastischen) Momente Mm,i
und Mn,i der Teile bzgl. ihrer Schwerpunkte aus den Momenten Mm und Mn des Gesamtquerschnitts berechnen. |
|
|
|
Für die Aufteilung der Querkräfte ergeben sich dann ähnliche Beziehungen. |
|
|
|
Die Torsionsmomente und das Wölbbimoment verteilen sich im Verhältnis der Querschnittswerte auf
die einzelnen Teile. |
|
|
|
Die Schnittgrößen des Gesamtquerschnitts erhält man durch Summation der Teilschnittgrößen. |
|
|
|
|
 |
plastische Widerstandsmomente |
|
|
 |
|
Die plastischen Grenzmomente können mit Hilfe der plastischen Widerstandsmomente berechnet werden. |
Die zugehörige Spannungsverteilung
erzeugt dabei keine Normalkraft; die resultierenden Momente beziehen
sich auf den Schwerpunkt. |
Für jede Achse, um die das Grenzmoment
wirkt (z.B. m-, n-, η-, ζ-Achse), sind zwei evtl. unterschiedliche Widerstandsmomente von Interesse. |
|
Das maximale plastische Widerstandsmoment liefert das maximal mögliche Moment um die betrachtete Achse. |
Die neutrale
Achse ist parallel zur Achse und teilt die Querschnittsfläche in zwei gleiche Teile. Das zum
Grenzmoment senkrecht wirkende
Moment kann dabei von Null verschieden sein (z.B. unsymmetrische
Querschnitte, gedrehte Hauptachsen). |
|
Die Spannungsverteilung des reduzierten plastischen Widerstandsmoments liefert das maximal mögliche Moment
um die betrachtete
Achse unter der Zusatzbedingung, dass das zum Grenzmoment senkrecht wirkende Moment
gleich Null ist. Die neutrale Achse ist evtl.
zur Momentenachse verdreht. |
|
Die Berechnung der Widerstandsmomente erfolgt mit Hilfe der Dehnungsiteration. Als Stoffgesetz wird hierbei
eine bilineare Spannungs-Dehnungs-Beziehung verwendet. Zu dem
betrachteten Moment wird iterativ ein Dehnungszustand unter
Berücksichtigung der Grenzdehnung (z.B. 20%) und der zu beachtenden
Neben-
bedingungen (keine Normalkraft, evtl. kein Quermoment) ermittelt. Aus
der zugehörigen Spannungsverteilung
lassen sich das Grenzmoment und das Widerstandsmoment berechnen. |
|
|
|
 |
Berechnung
von Wölbfunktion und Torsionskennwerten
mit der Methode der Finiten Elemente |
|
|
 |
|
Die Verwölbung der primären und sekundären
Torsion bzw. des Querkraftschubs berechnen sich mit der Methode
der Finiten Elemente aus der Potentialgleichung (in den Hauptachsenkoordinaten η,ζ) |
|
|
|
Längs der Querschnittsränder gilt die Randbedingung
(mit dem Normalenvektor (nη, nζ)) |
|
|
|
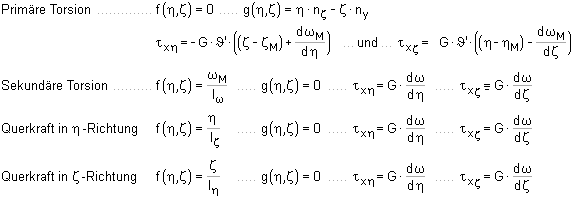
Es werden folgende Funktionen f(η,ζ) und g(η,ζ)
für die einzelnen Problemstellungen angesetzt |
|
|
|
Dabei ist ωM die normierte Verwölbung
der primären Torsion und (ηM, ζM)
der Schubmittelpunkt. Für die Torsionskennwerte ergeben sich
dann |
|
|
|
|
 |
|
Elastischer Nachweis für dünnwandige Querschnitte |
 |
|
Der elastische Nachweis kann für alle dünnwandigen Querschnitte durchgeführt
werden,
die entweder der pcae-Profiltafel entnommen, parametrisiert
eingegeben oder mit dem
pcae-Programm 4H-QUER als dünnwandiges
Profil erzeugt wurden. |
Flach- und Rundstähle sind jedoch vom Nachweis ebenso
ausgenommen wie dickwandige
4H-QUER-Querschnitte. |
Einen dünnwandigen Querschnitt kennzeichnet, dass seine Blechdicken
im Verhältnis zu ihrer Länge klein sind, sodass der Querschnitt über
Linien
modelliert werden kann. |
Jede Linie hat eine ggf. linear veränderliche
Dicke und kann Ausrundungen am Anfang und
Ende besitzen. |
|
Der elastische Nachweis berücksichtigt sämtliche Schnittgrößen. |
|
 |
|
|
Die Normalspannungen werden am polygonalen Querschnitt
berechnet, während die Schubspannungen auf die
Linien bezogen werden.
Demzufolge gilt für den Schubspannungsanteil der Querkräfte, dass die Schubspannungen
in der grafischen Darstellung
über die Dicke konstant verlaufen (hier: horizontale bzw. vertikale
Konturengrenzen), während der Anteil aus primärer Torsion sich linear über
die Dicke verändert. |
|
Im Ergebnisausdruck werden der Ort und die Größe der zugehörigen
Spannungen bezogen auf das Querschnittskoordinatensystem im Schwerpunkt
protokolliert. |
Der Nachweis wird für die maximale Vergleichsspannung geführt. |
|
Beispiel U100 |
|
|
|
|
|
|
|
Elastischer Nachweis mit der Finite-Elemente-Methode |
 |
|
Dieser Nachweis wird für sämtliche Querschnittsformen und alle
Schnittgrößen
angeboten. |
Es können dünnwandige, d.h. über ihre Profilmittellinie definierte
(s.o.), und dickwandige, d.h. polygonal umrandete, Querschnitte berechnet werden. |
Es werden Kennwerte
für jeden Elementknoten ermittelt, die nur von der Querschnittsform
abhängen und daher nur einmal berechnet werden müssen. Die Spannungen
in den Knoten
werden anschließend durch Multiplikation der Schnittgrößen
mit den Kennwerten ermittelt. |
|
Der Nachweis berücksichtigt sämtliche Schnittgrößen. |
|
 |
|
|
Die lineare Normalspannungsverteilung wird aus Querschnittsfläche
und Trägheitsmomenten berechnet. |
Die Ermittlung der Schubspannung
erfolgt auch für dünnwandige Querschnitte nach der 'dickwandigen' Theorie. |
Die genauere Erfassung der Schubspannungen aus Querkraft in den
Ausrundungsbereichen und Ecken im Vergleich zur Berechnung dünnwandiger
Querschnitte (s.o.) ist in der grafischen Darstellung gut zu erkennen. |
|
Im Ergebnisausdruck werden die Verläufe der Dehnungen, Spannungen und
Ausnutzung als Konturenplot dargestellt. |
Eine Tabelle zeigt den Ort und die Größe
der zur maximalen Ausnutzung gehörenden Größen; Maximalwerte
werden gelb unterlegt.
Der Nachweis wird für die maximale Vergleichsspannung geführt. |
|
Beispiel U100 |
|
|
|
|
|
|
Elastischer Nachweis mit der Spannungsebene |
 |
|
Dieser Nachweis berücksichtigt nur Normalkraft und Biegemomente und wird für sämtliche Querschnittsformen angeboten. |
Aus den Querschnittsgrößen Fläche und
Trägheitsmomente
werden mit Hilfe der Spannungsebene die Querschnittspunkte mit der maximalen
und minimalen Normalspannung ermittelt. |
Da die Bernoulli-Hypothese vom
Ebenbleiben der Querschnitte gilt, liegen die Normalspannungen auf einer
Ebene, die um die Spannungsnulllinie als Achse dreht. |
Die Querschnittsfasern mit den größten Abständen
beidseitig der Nulllinie erhalten die größte
(positive)
und die kleinste (negative) Spannung. |
Die Gleichung der Normalspannung lautet |
|
wobei sowohl die Biegemomente My, Mz als auch die Trägheitsmomente Iy, Iz,
Iyz auf das Querschnittskoordinatensystem bezogen sind. |
|
Im Ergebnisausdruck werden der Ort und die Größe der extremalen
Spannungen bezogen auf das Querschnittskoordinatensystem im Schwerpunkt
protokolliert. |
Der Nachweis wird für die betragsmäßig größte Normalspannung geführt. |
|
Beispiel U100 |
|
|
|
|
|
|
 |
|
Plastischer Nachweis nach der Methode mit Teilschnittgrößen |
 |
|
Der Nachweis kann für dünnwandige Dreiblechquerschnitte (I-,
C-, U-, Z-, L-, T-Querschnitte) durchgeführt
werden,
die entweder der pcae-Profiltafel entnommen oder parametrisiert
eingegeben wurden. |
4H-QUER-Querschnitte sind generell ausgenommen. |
Dieser Nachweis ist der bevorzugte plastische Nachweis für die pcae-Programme und wird für sämtliche
Schnittgrößen angeboten. |
|
Das Teilschnittgrößenverfahren
(TSV) mit Umlagerung wurde von R. Kindmann, J.
Frickel: Elastische und
plastische Querschnittstragfähigkeit entwickelt.
Es wird überprüft, ob die Schnittgrößen vom Querschnitt unter
Ausnutzung der plastischen Reserven aufgenommen werden können (plastische Querschnittstragfähigkeit). |
Dazu wird zunächst die schubspannungserzeugende Belastung auf die Einzelbleche
aufgebracht, die dadurch eine verminderte Aufnahmekapazität erhalten. Anschließend
wird ein Gleichgewichtszustand für die normalspannungs-erzeugende Belastung
und die verbleibende Tragfähigkeit der Bleche gesucht. |
Die Ausnutzung des
Gesamtquerschnitts entspricht dem Kehrwert des Laststeigerungsfaktors. |
|
Beispiel U100 |
|
|
|
|
|
|
Plastischer Nachweis nach der Methode mit Dehnungsiteration |
 |
|
Der Nachweis kann für alle dünnwandigen Querschnitte durchgeführt
werden, die entweder der pcae-Profiltafel entnommen, parametrisiert
eingegeben oder mit dem pcae-Programm 4H-QUER als dünnwandiges
Profil
erzeugt wurden. |
Flach- und Rundstähle sind jedoch ebenso
ausgenommen wie dickwandige 4H-QUER-Querschnitte. |
|
Das Verfahren der Dehnungsiteration (DIV) wird in R. Kindmann, J. Frickel: Elastische und plastische
Querschnittstragfähigkeit (Kapitel 10.10) beschrieben. |
Ähnlich wie beim Teilschnittgrößenverfahren werden die
Schubspannungen aus Querkraft und Torsion der einzelnen
Querschnittsteile (Flansche, Stege, ...) aus der elastischen
Schubverteilung berechnet. Diese Schubspannungen reduzieren die
zulässige Normalspannung der Teile. |
Können die Schubspannungen nicht
aufgenommen werden, muss der maximal mögliche Lastfaktor reduziert
werden. |
Die Schubspannungen werden bei Spannungsüberschreitungen nicht
umgelagert. |
Die Verwölbung der Querschnittsteile wird wie beim elastischen
Verfahren für dünnwandige Querschnitte ermittelt
und in den einzelnen
Teilen als ebene Verformung angesetzt. |
Durch Variation der Dehnungsebene und der
Verdrillungsableitung wird unter Berücksichtigung der reduzierten
zulässigen Normalspannungen ein Dehnungszustand gesucht, dessen
resultierende Schnittgrößen ein maximales Vielfaches der aufzunehmenden
Schnittgrößen sind. |
Dieser Grenzdehnungszustand darf für keinen
Querschnittspunkt die Bruchdehnung εu überschreiten
bzw. -εu unterschreiten. |
Falls der sich so ergebende maximale Lastfaktor evtl. nicht
mit dem für die Schubspannungen verwendeten
Lastfaktor übereinstimmt,
sind weitere Berechnungsschritte notwendig, bis die Lastfaktoren nahezu
gleich sind. |
Die plastische Querschnittsausnutzung ist der Kehrwert des
maximalen Lastfaktors. |
Es ist zu beachten, dass abhängig von der
Querschnittsform, auch Lastkombinationen ohne Wölbschnittgrößen im
Grenzzustand zu einer Verwölbung des Querschnitts führen können. Eine
Vernachlässigung des Wölbgleichgewichts ergibt eine geringere
Ausnutzung. |
|
Beispiel U100 |
|
|
|
|
|
|
Plastischer Nachweis nach EC 3-1-1, 6.2 |
 |
|
Dieser Nachweis wird nur für das Doppel-T-Profil, das Hohlprofil
und den Flachstahl angeboten. |
4H-QUER-Querschnitte sind generell ausgenommen. |
Der Nachweis wird für alle Schnittgrößen mit Ausnahme
der Verwölbungsgrößen Tω und B angeboten. |
Er folgt den Regeln des EC 3-1-1, 6.2.2 bis 6.2.10. Es wird der ungeschwächte
Bruttoquerschnitt zu Grunde gelegt.
Der Querschnitt gehört den Klassen
1 oder 2 an. |
|
Die plastische Normalkrafttragfähigkeit berechnet sich mit (6.2.3+4) |
|
Die plastische Biegetragfähigkeit berechnet sich mit (6.2.5) |
|
Die plastische Querkrafttragfähigkeit berechnet sich mit (6.2.6) |
|
Die plastische Torsionstragfähigkeit berechnet sich mit (6.2.7) |
|
Die plastische Berechnung basiert auf dem Nachweis der Momentenbeanspruchbarkeit.
Dazu wird die plastische Biegetragfähigkeit in Abhängigkeit der
anderen Beanspruchungen (N, V, T) abgemindert. |
Bei kombinierter
Beanspruchung aus Querkraft und Torsion ergibt sich nach 6.2.7 |
|
Die ggf. abgeminderte Querkraft wirkt sich
nach 6.2.8 auf die Momententragfähigkeit
aus,
wenn gilt |
|
Anstelle der Steifigkeit fy wird das plastische Widerstandsmoment um
den ρ-Anteil der querkraftbelasteten
Querschnittsteile reduziert. Dadurch ergibt sich die reduzierte plastische Biegetragfähigkeit zu |
|
Die gleichzeitige Wirkung einer Normalkraft ist nach 6.2.9
bei der Biegetragfähigkeit zu berücksichtigen, wenn
gilt |
|
Die reduzierte Biegetragfähigkeit beträgt |
|
wobei die Biegetragfähigkeit bereits durch Querkraft und/oder Torsion
abgemindert sein kann. |
Ebenso kann die Normalkrafttragfähigkeit durch Querkraft und/oder Torsion
abgemindert sein, da die querkraftbeanspruchten Querschnittsteile um den Faktor ρ reduziert werden. |
|
Der Nachweis wird bei einachsiger Biegung mit Normalkraft geführt mit |
|
und bei zweiachsiger
Biegung mit Normalkraft mit |
|
Beispiel Blech 50 x 8.5 |
|
|
|
|
|
|
|
 |
|
Das Programm 4H-EC3QN weist Bauteile aus Aluminium elastisch
nach. |
Beulen ist ausgeschlossen, d.h. der Querschnitt befindet sich mindestens in Querschnittsklasse 3
(s. EC 9-1-1, 6.1.4.4). |
Der Spannungsnachweis eines Aluminium-Querschnitts erfolgt mit
dem
Fließkriterium
nach EC 9-1-1, 6.2.1(5). |
|
Der Sicherheitsbeiwert beträgt nach
EC 9-1-1, 6.1.3(1) γM1 =
1.1 (s. ggf. EC 9-1-1, NA). |
Die zulässige Fließgrenze entspricht der 0.2%-Dehngrenze
fo der jeweiligen Legierung. |
Die zulässige Vergleichsspannung darf um den Faktor C0.5 = 1.200.5 = 1.095
(s. ggf. EC
9-1-1, NA) erhöht werden, wohingegen die Normal-
und Schubspannungen ohne Erhöhung der zulässigen Spannungen
nachgewiesen werden. |
Die Dehnungen in der Ergebnisausgabe werden mit der materialspezifischen
Spannungs-Dehnungs-Beziehung für Traglastnachweise (s.
Ramberg-Osgood-Modell in EC 9-1-1, E.2.2.2) aus den Normalspannungen berechnet. |
|
Der Exponent n ist abhängig vom Dehnungsbereich, der dem
untersuchten Verhalten entspricht. Wenn die
Berechnung elastisch
erfolgt, wird n mit Gl. (E.15) ermittelt, bei plastischer Berechnung
wird Gl. (E.18) angewandt. |
|
Aktuell wird für Aluminiumlegierungen nur der elastische Nachweis
angeboten. Daher erfolgt die Berechnung des Exponenten mit (E.15). |
Die Auswirkungen der exponentiellen Zunahme der Dehnungen bei
hoher Beanspruchung werden im Deformationsplot deutlich. Beispielhaft
wird ein Aluminiumprofil diagonal durch ein Moment belastet.
Die Ausnutzung in den diagonal gegenüberliegenden Ecken ist überschritten,
d.h. dass die Normalspannungen größer als die 0.2%-Dehngrenze sind. |
|
Die Berechnung der Dehnungen nach dem Hooke'schen Gesetz (ε
= σ / E) erzeugt eine Dehnungsebene
(gleichmäßig
eben), während die Dehnungen bei der Berechnung nach
EC 9, Anhang E in den Bereichen,
in denen die 0.2%-Dehngrenze
der Spannungen überschritten wird, sich nichtlinear verhalten. |
|
|
|
|
 |
|
Das Programm bietet drei elastische und drei plastische
Verfahren an, einen Querschnitt zu bemessen. |
Die Verfahren unterscheiden sich i.W. in ihrer
Anwendbarkeit auf verschiedene Querschnittstypen. Nähere Informationen
zu den Verfahren finden Sie hier. |
In der Literatur
werden bevorzugt Verfahren entwickelt, die nur für häufig
vorkommende Querschnittstypen gelten. |
Anhand des Doppel-T-Profils werden
im Folgenden die Unterschiede der Verfahren dargestellt (Bsp. 1). |
Anschließend wird die Berechnung von frei definierten Querschnitten
(s. 4H-QUER) aus Aluminium vorgestellt
und der Unterschied zum Material
Stahl erläutert (Bsp. 2). |
Zum Schluss werden die Auswirkungen der Wölbkrafttorsion dargestellt
(Bsp. 3). Beachte: Die Spannungen
treten bei Behinderung der Verwölbung auf, also
maßgeblich bei Verbindungen. |
|
Bsp. 1 - Wagenknecht, 2.6.1: HE300A, S235, My,Ed = 225 kNm, Vz,Ed = 160 kN |
 |
|
 |
Elastische Spannungsnachweise |
|
|
|
|
Die elastischen Spannungsnachweise berechnen die Normalspannungen generell mit |
|
(s. Querschnittsnachweise),
wobei für diesen Querschnittstyp Iη = Iy und Iζ = Iz
.gelten |
Die Querschnittsparameter werden aus den Profilparametern
berechnet und können daher geringfügig von Tabellenwerten abweichen. |
|
Abweichungen zwischen den Nachweisen ergeben sich
vor allem in der Berechnung der Schubspannungen. |
Die maximale Tragfähigkeit wird in Wagenknecht mit U = 0.73 am Steganschnitt angegeben. |
|
dünnwandiger Querschnitt |
|
Bei diesem Verfahren wird der Querschnitt durch seine Mittellinien
und die zugehörigen Blechdicken beschrieben. Ausrundungen
und veränderliche Blechdicken werden berücksichtigt. |
Die extremalen Normalspannungen beziehen sich auf die äußersten
Querschnittsfasern (nicht auf die Mittellinien!), wohingegen
die Schubspannungen für die Mittellinien berechnet werden. |
Zu jeder extremalen Größe werden die Querschnittskoordinaten
y,z bezogen auf den Schwerpunkt und die
zugehörigen Spannungen
σx, τ, σv angegeben. |
|
Der Nachweis wird für die maximale Vergleichsspannung
geführt und ergibt die Tragfähigkeit (Ausnutzung U). |
Die maximale Vergleichsspannung und damit auch die maximale Ausnutzung
tritt im Flansch bei
z = ± 138 mm = h/2 - tf/2 auf, also im Schnittpunkt der Mittellinien. |
Bei diesem Verfahren ist der Konturenplot verfügbar,
er zeigt die Spannungsverteilung an. Die Normalspannungen werden
farblich markiert, hier steht rot für Druck und blau für Zug (Palette 1). |
Die Schubspannungen sind stets positiv, daher ist
die Konturdarstellung neutral gehalten. Die Intensität der Farben
zeigt die Größe des Ergebniswerts an. |
Deutlich zu erkennen ist der lineare Verlauf der Normalspannungen.
Es wird programmintern dafür gesorgt,
dass sich die neutrale Zone im
hellsten Farbbereich (Palette 1) befindet. |
Die Schubspannungen sind senkrecht zur Mittellinie konstant.
In den Knotenpunkten (Flansche-Steg) ergeben sich sprunghafte Veränderungen,
die auf das Verfahren zurückzuführen sind. Der Maximalwert tritt in Stegmitte auf. |
|
Die Konturenergebnisse können zudem tabellarisch
dargestellt werden. I.A. werden nur die extremalen Werte ausgegeben,
die führenden Werte ±ε, ±σx, τ, σv sind
unterlegt. |
|
Die maximale Ausnutzung berechnet sich nach dieser
Methode zu U = 0.86, liegt also im Vergleich zur
Handrechnung (Wagenknecht)
auf der sicheren Seite. |
|
Finite-Elemente-Methode |
|
Der Querschnitt wird polygonal modelliert und mit
FEM ganzheitlich berechnet, d.h. vorab berechnete Querschnittsparameter
sind nicht von Belang. |
Der Q. wird unter Berücksichtigung der Schlankheit
seiner Bleche diskretisiert. Die Netzdichte kann beeinflusst
werden, wenn der Profi-Button aktiviert ist. |
Aus den Ergebnissen in den Knotenpunkten werden die extremalen
Dehnungen, Spannungen und Ausnutzungen ermittelt und
in einer Tabelle
dargestellt. |
Bei diesem Verfahren ist der Konturenplot obligatorisch
(Erläuterung s.o. 'dünnwandiger Querschnitt'). |
Die Schubspannungen
ergeben sich nach diesem Verfahren veränderlich über
die Blechdicke. Der Knotenbereich
von Flanschen und Steg ist
gegenüber dem Verfahren der dünnwandigen Querschnitte besser
erfasst. Dadurch
ergibt sich ein realitätsnäheres Ergebnis. |
|
Aus der Ergebnistabelle lässt sich ablesen,
dass die maximale Tragfähigkeit an der Flanschaußenkante
im Bereich des Stegs auftritt. |
|
Die maximale Ausnutzung berechnet sich nach dieser
Methode zu U = 0.77; größer als der Wert der Handrechnung
(Wagenknecht). Der Grund liegt darin, dass dieses Verfahren die
äußerste Querschnittsfaser
berücksichtigt, Wagenknecht die Normalspannungen nach EC 3-1-1
in Flanschmitte berechnet. |
Die FEM berechnet dort
eine maximale Ausnutzung von U = 0.74, was in etwa
der Ausnutzung am
Steganschnitt entspricht. |
Die FEM ist genauer als das Verfahren für dünnwandige Querschnitte,
jedoch erfordert es bei komplexen Querschnitten (s. Bsp. 3) erheblich
mehr Rechenzeit. |
|
Spannungsebene |
|
Das Verfahren ist ein Handrechenverfahren zur Berechnung
von normal- und biegebelasteten Querschnitten. |
Schubkräfte (Querkraft
und Torsion) können nicht nachgewiesen werden. |
Es wird die Gleichung der Spannungsebene und der Spannungsnulllinie
(neutrale Faser) protokolliert. Daraus
berechnen sich die extremalen
Normalspannungen, die sich auf die äußersten Querschnittsfasern beziehen. |
Zu jeder extremalen Größe werden die Querschnittskoordinaten
y,z bezogen auf den Schwerpunkt und die
zugehörigen
Spannungen σx angegeben. |
|
Der Nachweis wird für die Bemessungsnormalspannung
geführt und ergibt die Tragfähigkeit (Ausnutzung Uσ = 0.76). |
|
 |
Plastische Spannungsnachweise |
|
|
|
|
Nachweis mit Teilschnittgrößen (TSV) |
|
Der Nachweis ist anwendbar für offene, dünnwandige
Zwei-/Drei-Blech-Querschnitte aus der pcae-Profildatenbank. |
Frei definierte Querschnitte (4H-QUER)
können nicht nachgewiesen werden. |
Für die Einzelbleche (Obergurt, Untergurt, Steg) werden
die Grenzkräfte berechnet und die anteiligen Schnittgrößen
nachgewiesen. Die Gesamtausnutzung kann jedoch auf Grund
der Spannungsumlagerungen nur durch Laststeigerung berechnet
werden. |
Daraus ergibt sich für das gewählte Beispiel
eine Ausnutzung von U = 0.75; für dieses Beispiel nur geringfügig
kleiner als die elastische Querschnittsausnutzung. |
|
Die Ergebnisse können nicht als Konturenplot dargestellt
werden. |
|
Methode mit Dehnungsiteration (DIV) |
|
Der Nachweis kann für alle dünnwandigen Querschnitte
(pcae-Profilmanager, parametrisiert, 4H-QUER - dünnwandig) geführt
werden. |
Der Querschnitt wird durch seine Mittellinien beschrieben. Iterativ
wird der plastische Grenzdehnungszustand des Querschnitts unter
der gegebenen Lastkombination für ε = ± 150 ‰ ermittelt. |
Die Grenzdehnungen können modifiziert werden,
wenn der Profi-Button aktiviert
ist. Außerdem kann festgelegt
werden, ob das Wölbgleichgewicht
bei Berechnung des Grenzzustands eingehalten werden soll. |
Die Querschnittsausnutzung
beträgt hier nur U = 0.72. |
|
Die Ergebnisse der plastischen Berechnung können
im Konturenplot visualisiert werden. Es werden jedoch lediglich
die Grenzdehnungen, Grenzspannungen und die lokale Ausnutzung
dargestellt. Es lässt sich also nicht der aktuelle Plastizierungsgrad
ablesen. |
Die Grenznormalspannungen
sind unter der gegebenen Lastkombination konstant bis zur Querschnittsachse
und erreichen den Grenzwert σx = ± 234 N/mm2. |
Die Querkraft wird allein vom Steg aufgenommen und bewirkt eine
maximale Grenzschubspannung von
max τ = 84 N/mm2. |
Daraus ergeben sich die Grenzvergleichsspannungen, die in nahezu
allen Querschnittspunkten der Grenzspannung
fyd = 235 N/mm2 entsprechen, d.h. der
Querschnitt ist optimal plastisch nachgewiesen. |
|
In der Ergebnistabelle werden die o.a. Werte zahlenmäßig
ausgegeben. |
|
Die maximale Ausnutzung bezieht sich bei plastischer
Berechnung auf den Gesamtquerschnitt und berechnet
sich nach
dieser Methode zu U = 0.72. |
Das Verfahren mit Dehnungsiteration ist
flexibler als das Verfahren mit Teilschnittgrößen,
da es beliebige
dünnwandige Querschnitte plastisch berechnet.
Allerdings geht die Flexibilität einher mit einer erheblich
längeren
Rechenzeit. |
|
Nachweis nach EC 3-1-1, 6.2 |
|
Der Nachweis ist nur für wenige Querschnittstypen,
Doppel-T- und dünnwandige Hohlprofile, verfügbar. |
4H-QUER-Querschnitte
können nicht nachgewiesen werden. Wölbkrafttorsion ist ausgeschlossen. |
Es werden die Eurocode-Formeln
für den plastischen Querschnittsnachweis angewandt. Nachvollziehbar
wird jeder Rechenschritt dargestellt, bis die abgeminderte
plastische Momententragfähigkeit bestimmt ist. |
Für dieses Beispiel
ergibt sich damit eine geringe Ausnutzung von U
= 0.70, da nach Norm die Querkraft die Momententragfähigkeit
nicht beeinflusst. |
Das genauere Verfahren (DIV) bescheinigt jedoch einen, wenn auch geringen,
Einfluss der Schubspannung
auf die Querschnittsausnutzung. |
|
Die Ergebnisse können nicht als Konturenplot dargestellt
werden. |
|
|
|
|
|
Bsp.
2 - 4H-QUER-Querschnitt (Laufs/Radlbeck A.2), 4H-QUER-Profil,
Aluminium 6060 T6 mit t ≤ 15 mm,
N = -4.3 kN, Mz,Ed =
6.59 kNm, Vy,Ed = 3.77 kN |
 |
|
Der Pfosten einer Aluminium-Glasfassade
ist zu bemessen. Er wird mit dem Programm 4H-QUER modelliert;
einerseits
über die Mittellinien seiner Bleche (Typ: dünnwandig), andererseits
polygonal (Typ: dickwandig). |
Die Beschreibung des dünnwandigen Querschnitts
erfolgt über
die Mittellinien der Bleche und ihre Dicken. |
Die Koordinaten der
Knotenpunkte und die zugeordneten Linien können als zusätzliche
Information
protokolliert werden. |
Schwerpunkt und Schubmittelpunkt sind markiert. |
|
Die Beschreibung des dickwandigen Querschnitts erfolgt über
die Knotenpunkte der Außenberandung und der Aussparungen.
In einer Tabelle werden die Koordinaten bezogen auf den Ursprung
yp/zp angegeben. |
Schwerpunkt und Schubmittelpunkt sind markiert. |
|
Die Berechnung erfolgt mit der Finite-Elemente-Methode, die Ergebnisse werden
anschaulich in der Konturendarstellung visualisiert. |
Normalspannungen und Schubspannungen werden zu Vergleichsspannungen zusammengefasst,
jeder
Spannungstyp jedoch einzeln nachgewiesen. |
Es ergibt sich eine
maximale Ausnutzung, die bei Aluminium im Unterschied zu Stahl
nicht unbedingt direkt
aus der Vergleichsspannung hervorgeht. |
|
Die maßgebenden Nachweise werden protokolliert. |
|
|
|
|
|
|
Bsp. 3 - IPE 300, S235, My = 60.6 kNm, Vz 41.4
kN, Tt = 1.7 kNm, Tω = 2.3 kNm, B = 2.4 kNm2 |
 |
|
Ein Träger IPE 300 erhält Schnittgrößen
aus Torsion. Da dieser Querschnitt wölbempfindlich ist, werden zusätzlich
zur
St. Venant'schen Torsion Tt Wölbschnittgrößen Tω und B angesetzt. |
Der elastische Spannungsnachweis (FEM) zeigt eine
deutliche Spannungsüberschreitung (Ausnutzung U = 1.41 > 1), während
der plastische Spannungsnachweis (DIV) mit U = 0.93 gelingt. |
|
Es ist zu beachten, dass beim plastischen Nachweis
das Wölbgleichgewicht eingehalten wird. |
Da sich eine Einhaltung des Gleichgewichts in der
fachlichen Diskussion befindet und ggf. nicht zwingend
erforderlich
ist, kann die Berechnung auch ohne Einhaltung durchgeführt werden. Dazu ist der Profi-Button zu
aktivieren und die entsprechende Option auszuwählen. |
Das Ergebnis zeigt nun eine wesentlich geringere
plastische Ausnutzung (U = 0.71), wobei das Gleichgewicht
(s. ΔB) nicht eingehalten wird. |
|
Bei elastischer Nachweisführung werden die
Daten für die Visualisierung
der Dehnungen als Deformationsplot erzeugt. Im Ergebnis-Darstellungsfenster
ist die Verwölbung des Querschnitts bzgl. seiner Längsachse
gut zu erkennen. |
|
|
|
|
|
|
|
|
 |
zur Hauptseite 4H-EC3QN,
Querschnittsnachweis |
 |
|
|