 |
|
| Seite überarbeitet Januar 2024 |
 |
Kontakt |
 |
|
 |
Programmübersicht |
 |
|
 |
Bestelltext |
 |
|
|
| Infos auf dieser Seite |
... als pdf |
 |
|
 |
 |
Anschlussparameter .............. |
 |
|
 |
Ergebnisübersicht .................. |
 |
|
|
 |
Bemessungsschnittgrößen ..... |
 |
|
 |
Knotennachweis .................... |
 |
|
 |
Querschnittsnachweis ............ |
 |
|
 |
Schnittgrößenimport .............. |
 |
|
 |
Schweißnahtnachweis ........... |
 |
|
 |
Beispiele ............................... |
 |
|
|
|
|
 |
|
 |
im Register 1 befinden
sich die Angaben zu Rechenlaufsteuerung, Baustoffen, Anschlussgeometrie |
|
|
 |
|
| Allgemeines |
 |
|
| Das Programm 4H-EC3HK
berechnet einen Hohlprofilknoten aus Stahl n. EC 3-1-8, Kap.
7. |
|
| Die Eingabedaten können über
die Copy-Paste-Funktion von
einem Bauteil in ein anderes desselben Typs exportiert
werden. |
|
 |
|
|
| Dazu ist der aktuelle Datenzustand im abgebenden
Bauteil über den Button Daten exportieren in
die Zwischenablage zu kopieren und anschließend über
den Button Daten importieren in das
aktuell geöffnete Bauteil aus der Zwischenablage zu übernehmen. |
|
| Es werden Geometrie, Belastung und
Nachweiseinstellungen ex- bzw. importiert. |
|
| Der Knoten wird maßstäblich am Bildschirm
dargestellt (s.o.), die Winkel und wesentlichen Abstände
sind gekennzeichnet. Die Querschnitte von Gurt und Streben sind
- der besseren Übersicht halber in einem anderen Maßstab
- hinzugefügt. |
|
|
| Materialsicherheit |
 |
|
|
| In Abhängigkeit von den gewählten
Nachweisen (s.u.) sind die Materialsicherheitsbeiwerte
zu belegen. |
| Die Sicherheitsbeiwerte können entweder
dem nationalen Anhang entnommen
oder direkt vorgegeben werden. |
|
 |
|
| Es können die Nachweise für den Knotenanschluss,
die Schweißnahtverbindung und den Querschnitt geführt
werden. |
|
|
| Stahlsorte |
 |
|
| Jedem Verbindungselement
kann ein eigenes Material zugeordnet werden. |
|
| Um den Eingabeaufwand zu reduzieren kann
an dieser Stelle eine einheitliche Stahlgüte
für den Gurt und die einzelnen Streben festgelegt werden. |
|
 |
|
|
Da die Beschreibung der Stahlparameter für
Verbindungen nach EC 3 programmübergreifend identisch ist,
wird auf die allgemeine
Beschreibung der Stahlsorten verwiesen. |
|
|
| Schweißnähte |
 |
|
| Jedem Anschluss einer Strebe an den Gurt kann eine eigene Schweißnahtform zugeordnet
werden. Bei Hohlprofilen wird stets eine umlaufende Schweißnaht verwendet. |
|
| Der Übersichtlichkeit halber können
an dieser Stelle Nahttyp und -dicke einheitlich für
alle Anschlussbleche gewählt werden. |
| Für umlaufende Kehlnähte ist die rechnerisch wirksame
Nahtdicke festzulegen, während Stumpfnähte durchgeschweißt sein können. |
| Nicht durchgeschweißte Stumpfnähten
werden wie Kehlnähte mit tiefem Einbrand berechnet. |
|
 |
|
|
Da die Beschreibung der Schweißnahtparameter für
Verbindungen nach EC3 programmübergreifend identisch ist,
wird auf die allgemeine
Beschreibung der Schweißnähte (nur
einseitig) verwiesen. |
|
|
| Anschlusstypen |
 |
|
| Es stehen sechs Knotenkonfigurationen zur Verfügung,
die nach der Art ihrer Streben-Gurt-Verbindung bezeichnet sind. |
|
 |
|
| Der Knoten-Typ wird aus einer Liste ausgewählt.
Diese Einstellung wird bei der nachfolgenden Eingabe
der geometrischen Parameter und der Schnittgrößen
im Register 2 berücksichtigt. |
| |
| Zur visuellen Kontrolle der Eingabe wird
der Anschluss am Bildschirm in der Programmoberfläche
und optional im 3D-Viewer maßstäblich dargestellt. |
|
 |
|
|
T-/Y-Knoten: An den Gurt ist eine Strebe geschweißt.
Bildet die Strebe einen rechten Winkel mit dem Gurt (θ1 = 90°),
handelt es sich um einen
T-Knoten, ansonsten ist es ein Y-Knoten (30° ≤ θ1 < 90°). |
| X-Knoten: An den Gurt sind in einer Ebene
zwei identische Streben geschweißt, deren Systemlinien auf einer
Geraden liegen (Strebe 1 durchlaufend). Auch sie können geneigt
sein (30° ≤ θ1 ≤ 90°). |
| DY-Knoten: An den Gurt sind
in einer Ebene zwei identische Streben geschweißt, deren
Winkel zum Gurt gleich sind (Strebe 1 gespiegelt). Wenn es
sich um einen rechten Winkel handelt (θ1 = 90°), liegt ein X-Knoten
vor. |
|
 |
|
|
K-/N-Knoten: An den Gurt sind zwei
geneigte Streben geschweißt, die in einer
Ebene liegen und deren
Systemlinien sich schneiden. Der Abstand der Außenkanten
der
Strebenprofile in Längsrichtung
des Gurts wird mit g bezeichnet (g < 0: Überlappung,
g> 0: Spalt). |
| Der Schnittpunkt der Systemlinien der Streben liegt im Abstand e von der Gurtachse. |
| Bildet eine der Streben einen rechten Winkel mit dem Gurt, handelt es sich
um einen N-Knoten (θ1 = 90° oder θ2 = 90°),
ansonsten ist es ein K-Knoten (30° ≤ θ1, θ2 < 90°). |
| DK-Knoten: An den Gurt sind in einer Ebene vier Streben
geschweißt, von denen jeweils zwei mit identischem Querschnitt
auf einer Geraden liegen. Der Schnittpunkt der Systemlinien
liegt auf der Systemachse des Gurts (keine Exzentrizität e = 0). |
|
 |
|
|
| KT-Knoten: Zwischen die Streben eines
K-Knotens wird eine dritte Strebe geschweißt, deren
Systemlinie durch den Schnittpunkt der anderen beiden
Strebenlinien geht. Eine Überlappung der Streben ist
nicht erlaubt. Nur die Zwischenstrebe kann einen rechten
Winkel zum Gurt bilden. |
|
 |
|
|
| RE-Knoten: Stütze und
Riegel werden im Rahmeneckknoten zusammengeschweißt und können einen
Winkel θ von 15° bis 165° einschließen. |
|
 |
|
| Jedem Knoten-Typ stehen individuelle Modellierungsmöglichkeiten
zur Verfügung. |
|
| räumlicher Anschluss (T-/Y-, X-,
K-/N-, KT-Knoten): Die an einem Gurt angreifenden Streben einer Ebene werden in eine zweite
Ebene dupliziert. |
| Die Schnittlinie der beiden Ebenen entspricht
der Systemlinie des Gurts. Die Ebenen schließen den Winkel 60° ≤ φ ≤ 90° ein.
Der Abstand der Außenkanten der Strebenprofile in Querrichtung des
Gurts wird mit g' bezeichnet. Es ist keine Überlappung zugelassen (g' > 0). |
|
 |
|
| Bei X-Knoten können nur rechte Winkel (φ = 90°)
verwendet werden. |
| Jede Ebene wird einzeln berechnet, wobei die Tragfähigkeit
um den Faktor μ abgemindert wird. |
|
Traglastabminderung: Bei
räumlichen Anschlüssen wird die Gesamttragfähigkeit
der beiden Ebenen durch Abminderung der Tragfähigkeiten jeder
Einzelebene um den Faktor μ ermittelt. Der Faktor kann auch
für nicht
räumliche Anschlüsse vorgegeben werden; er übersteuert
den Wert bei einem räumlichen
Anschluss. |
|
| Knotenexzentrizität vermeiden (K-/N-,
KT-Knoten): Das statische System eines Fachwerks sieht vor, dass
sich die Stäbe in einem Punkt treffen. |
| Der Knotenanschluss kann derart konstruiert werden,
dass die Exzentrizität e = 0 ist. Der Abstand zwischen den Streben
g wird dann programmintern berechnet. |
| Andernfalls ist der Abstand g vorzugeben. |
|
| Überlappende Strebe (K-/N-Knoten):
Ist der Abstand der Außenkanten der Strebenprofile negativ
(g < 0), überlappen sich die Streben. Die überlappende
Strebe ist festzulegen. |
|
| Der Gurt-Typ wird
aus einer Liste ausgewählt. Der zum Knoten-Typ passende
Gurt-Typ ist anwählbar, nicht verfügbare Typen sind rot gekennzeichnet. |
| Für den gewählten Gurt-Typ wird
das entsprechende Profil zur Auswahl angeboten (s.u.). |
| Bei RE-Knoten können Stütze und Riegel
nur als Rechteckrohre mit demselben Querschnitt konstruiert
werden, |
|
 |
|
|
| Der Streben-Typ wird
aus einer Liste ausgewählt. Die zu Knoten- und Gurt-Typ
passenden Streben-Typen sind anwählbar, nicht verfügbare
Typen sind rot gekennzeichnet. |
Alle Streben eines Knotens haben einen
einheitlichen Typ, wobei die Querschnittsgrößen
variieren können. Für den gewählten Typ
wird das entsprechende Profil zur Auswahl
angeboten (s.u.). |
| Außerdem ist für jede Strebe
der Anschlusswinkel
θ an den Gurt anzugeben. |
|
 |
|
|
| Wird als Gurt-Typ ein I-Profil gewählt (T-/Y-, X-, K-/N-Knoten), kann der Lasteinleitungsbereich
einer Strebe durch Stegsteifen (Blechdicke ts) verstärkt werden. Die Steifen werden nachgewiesen. |
|
|
| Profile |
 |
|
Die Profilkennwerte können entweder
über den pcae-eigenen Profilmanager in das Programm
importiert oder als
parametrisiertes Stahlprofil eingegeben werden. |
|
| Um ein Profil aus dem Angebot des Profilmanagers zu
wählen,
ist der grün unterlegte Pfeil anzuklicken. |
| Das externe pcae-Programm
wird aufgerufen und ein Profil
kann aktiviert werden. |
| Bei Verlassen des Profilmanagers
werden die
benötigten Daten übernommen und der Profilname protokolliert. |
|
 |
|
|
| Im Profilmanager werden nur die Profilklassen angeboten,
die dem Gurt- oder Streben-Typ entsprechen. |
| Ist die Stahlsorte nicht einheitlich für alle Verbindungselemente,
wird an dieser Stelle die Stahlsorte des Profils abgefragt (Beschreibung
s.o.). |
Ein Rechteckhohlprofil wird als 'stehendes' Profil (Breite
kleiner als Höhe) aus dem Profilmanager importiert.
Wahlweise kann das Profil liegend angeordnet werden. |
|
| Zur Definition eines parametrisierten
Profils sind die Querschnittsparameter direkt
festzulegen. Dazu gehören je nach Profilklasse die
Profilhöhe,
-breite und -dicke etc. |
| Hohlprofile können kalt- oder warmgefertigt sein. |
|
| Bei gewalzten Profilen (nicht Kreisrohr,
Blech) werden die Ausrundungsradien r und r2 geometrisch
berücksichtigt. |
| Sie bezeichnen beim Rechteckrohr
den Außen- r und den Innenradius r2, beim
I-, U-Profil den Steg-Flansch-Radius r und beim U-Profil
zusätzlich den Flansch-Außenradius
r2. |
|
| Geschweißte Profile sind mit Kehlnähten der
Dicke a oder durchgeschweißten Stumpfnähten
zusammengefügt. |
| Diese Schweißnähte werden nicht nachgewiesen. |
|
 |
|
|
|
| Nachweise |
 |
|
| Das Programm 4H-EC3HK führt die folgenden
Nachweise |
|
|
|
 |
|
|
| Der Nachweis eines geschweißten Hohlprofilknotens
wird nach den Tabellen des EC 3-1-8, Kap. 7, geführt.
Eine Reihe von Bedingungen und Voraussetzungen sind zu
erfüllen, deren Überprüfung optional ausgeschaltet werden
kann. |
| Das Programm kann dahingehend gesteuert
werden, dass |
 |
die Berechnung nach Überprüfung der
Gültigkeitsgrenzen beendet wird |
 |
die Gültigkeitsgrenzen nicht überprüft
werden, sondern nur die Auswertung der Tragfähigkeit
erfolgt |
 |
nur bei eingehaltenen Gültigkeitsgrenzen
die Tragfähigkeit ermittelt wird. |
 |
Berechnung n. CIDECT-Handbuch
für KHP- und RHP-Knoten (nicht RE-Knoten) |
|
|
| Im Standardfall werden sowohl die Gültigkeitsgrenzen
überprüft als auch die Tragfähigkeit berechnet. |
|
| Der Nachweis der umlaufenden Schweißnähte
kann optional mit dem vereinfachten oder dem richtungsbezogenen
Verfahren geführt werden. |
|
| N. EC 3-1-8 sollte ein Querschnittsnachweis
an der Verbindungsstelle geführt werden, der elastisch oder plastisch erfolgen kann. |
|
|
|
 |
| |
 |
das zweite Register beinhaltet die
Masken zur Eingabe der Bemessungsschnittgrößen |
|
| Die Schnittgrößen des
Knotens werden als Bemessungsgrößen bzgl.
der Vorzeichenregel der Statik eingegeben, wobei das x,y,z-Koordinatensystem
dem l,m,n-System der pcae-Tragwerksprogramme
entspricht. |
| Es können bis zu 10.000 Schnittgrößen-
kombinationen eingegeben werden. |
| Der Hohlprofilknoten kann im Gurt
Normalkraft mit Biegung erhalten, die Streben übertragen
je nach Anschlusstyp nur Normalkräfte oder Normalkräfte mit
Biegemoment. |
|
 |
|
| Die Schnittgrößen sind als einander zugehörige
Größen in die Tabelle einzutragen. |
| Da der Berechnung eine ebene Betrachtungsweise
zugrunde liegt, werden bei räumlichen Knoten die Hauptschnittgrößen
erwartet. |
|
| Die Schnittgrößen können wahlweise in folgenden Einheiten
vorliegen |
|
 |
|
|
 |
|
|
|
|
 |
|
| Die statische Berechnung eines Bauteils beinhaltet
i.A. die Modellbildung mit anschließender Berechnung
des Tragsystems sowie nachfolgender Einzelnachweise
von Detailpunkten. |
| Bei der Beschreibung eines Details sind die zugehörenden
Schnittgrößen aus den Berechnungsergebnissen des Tragsystems zu extrahieren
und
dem Detailnachweis zuzuführen. |
| In der 4H-Programmorganisation gibt es hierzu verschiedene Vorgehensweisen |
 |
zum einen können Tragwerks- und Detailprogramm
fest miteinander verbunden sein, d.h. die Schnittgrößenüber-
gabe erfolgt intern. Es sind i.A. keine weiteren Eingaben
(z.B. Geometrie) notwendig, aber auch möglich (z.B.
weitere Belastungen), die Programme bilden eine Einheit. |
| Dies ist z.B. bei dem 4H-Programm Stütze
mit Fundament der Fall. |
|
 |
| zum anderen können Detailprogramme Schnittgrößen von in Tragwerksprogrammen speziell festgelegten Exportpunkten über ein zwischengeschaltetes Export/Import-Tool einlesen. |
|
|
|
| Das folgende Beispiel eines Hohlprofilknotens erläutert
diesen 4H-Schnittgrößen-Export/Import. |
|
Zunächst sind im exportierenden 4H-Programm
(hier
4H-NISI) die Stellen zu kennzeichnen,
deren Schnitt-
größen beim nächsten Rechenlauf exportiert, d.h.
für
den Import bereitgestellt, werden sollen. |
| Um das Anschlussprogramm sinnvoll einzusetzen zu können,
sollte bereits bei der Modellbildung im Stabwerksprogramm
darauf geachtet werden, dass der Knoten sich konstruieren
lässt (Abmessung der Profile beachten). |
|
In diesem Beispiel sollen die Schnittgrößen für einen
K-Knoten übergeben werden. |
|
 |
|
| Dazu ist je ein Kontrollpunkt am Ende oder Anfang aller Stäbe zu setzen, die
an dem Knoten angreifen. |
| Für einen K-Knoten sind vier Punkte
(Gurt links, Gurt rechts, Strebe
1 und Strebe
2) festzulegen. |
| Zur späteren Identifizierung der Punkte (s.u.)
ist es sinnvoll, eine charakteristische Bezeichnung zu wählen. |
|
| Ausführliche Informationen zum Export entnehmen Sie
bitte dem DTE®-Schnittgrößenexport. |
|
| Nach einer Neuberechnung des Fachwerkträgers stehen
die Exportschnittgrößen
dem aufnehmenden 4H-EC3HK-Programm
zum Import zur Verfügung. |
|
|
Dazu wird im Register zur Eingabe
der Bemessungsgrößen der Button für
den Datenimport aus einem
pcae-Programm betätigt. |
|
|
|
|
| Nun wird über den Import-Button
das Fenster zur DTE®-Bauteilauswahl aufgerufen. |
|
|
|
| Zunächst erscheint ein Infofenster, das den Anwender
auf die wesentlichen Punkte hinweist. |
Es besteht die Möglichkeit,
den Import an dieser Stelle abzubrechen, um ggf. das exportierende Programm
entsprechend vorzubereiten. |
|
| Nach Bestätigen des Infofensters wird die DTE®-Bauteilauswahl aktiviert. |
|
 |
|
|
In der Bauteilauswahl werden alle berechneten
Bauteile nach Verzeichnissen sortiert dargestellt, wobei diejenigen,
die Schnittgrößen exportiert haben, dunkel gekennzeichnet sind. |
|
|
|
Das gewünschte Bauteil kann nun markiert und über
den bestätigen-Button ausgewählt
werden. Alternativ kann
durch Doppelklicken des Bauteils direkt in die DTE®-Schnittgrößenauswahl verzweigt werden. |
|
| In der Identifizierungsphase der
Schnittgrößenauswahl werden alle verfügbaren Schnitte des ausgewählten Bauteils
angezeigt, wobei diejenigen Schnitte deaktiviert sind, deren Material nicht kompatibel mit dem Detailprogramm ist. |
|
|
|
| Nun werden die Schnitte den einzelnen
Abteilungen in der Schnittgrößentabelle
(für einen K-Knoten: Gurt links, Gurt
rechts, Strebe 1, Strebe
2) zugeordnet. |
Dazu wird der entsprechende Eintrag (hier: Punkt
2) angewählt und der zugehörigen Zeile in der
dann folgenden
Tabelle zugewiesen (hier: Gurt rechts). |
| Es ist sehr hilfreich, wenn die Punkte
bereits im exportierenden Programm sinnvoll gekennzeichnet wurden
(s.o.). |
| Ist eine Abteilung festgelegt, werden die in Frage kommenden
möglichen Alternativen für die noch nicht festgelegte Abteilung
mit einem Pfeil gekennzeichnet. |
|
Sind nicht ausreichend Schnitte
vorhanden, kann die DTE®-Schnittgrößenauswahl
nur über den
abbrechen-Button verlassen werden, ein Import ist dann nicht möglich. |
|
|
|
| Zur visuellen Kontrolle werden in einem nebenstehenden
Fenster die definierten Schnitte angezeigt. |
|
|
| Erst wenn sämtliche Schnitte zugeordnet
sind, ist die Identifizierungsphase abgeschlossen
und die Schnittgrößenauswahl folgt. |
|
|
|
 |
|
|
Es werden die verfügbaren
Schnittgrößenkombinationen der gewählten Schnitte
angeboten, die über das
'+'-Zeichen am linken Rand aufgeklappt werden können. |
|
 |
|
| Die Kombinationen können beliebig zusammengestellt werden. |
|
| über den nebenstehend dargestellten Button kann die Anzahl an Schnittgrößenkombinationen
durch Abwahl doppelter Zeilen häufig stark reduziert werden |
|
|
|
Wenn eine Reihe von Anschlüssen gleichartig ausgeführt werden soll, können in einem Rutsch weitere Schnitt-
größen anderer Schnitte aktiviert und so bis zu 10.000 Kombinationen übertragen werden. |
|
|
| wird das Import-Modul über den bestätigen-Button verlassen, werden
die Schnittgrößen übernommen und für
das importierende Programm aufbereitet |
|
|
|
 |
pcae gewährleistet
durch geeignete Transformationen, dass die Schnittgrößen
sowohl im KoS des importierenden Programms
vorliegen, als auch - bei mehrschnittigen Verbindungen - einander zugehörig
sind, d.h. dass Träger- und Stützenschnittgrößen
aus derselben Faktorisierungsvorschrift entstanden sind. |
|
|
|
|
| In einem Infofenster werden die eigene Auswahl
fett und die aus der Faktorisierungsvorschrift
berechneten Schnittgrößen eines anderen Schnitts in normaler
Schriftdicke dargestellt. |
|
 |
|
| Auch an dieser Stelle besteht wieder
die Möglichkeit, doppelt vorkommende Zeilen zu ignorieren. |
|
Das aufnehmende Programm erweitert
nun die Schnittgrößen-
tabelle um die ausgewählten Lastkombinationen. |
|
|
|
|
 |
|
| Bei der Übernahme erfolgen Plausibilitätschecks und ggf. Meldungen. |
|
 |
Eine Aktualisierung der importierten Schnittgrößenkombinationen, z.B. aufgrund einer Neuberechnung
des exportierenden Tragwerks, erfolgt nicht! |
|
|
|
|
|
|
 |
|
 |
das dritte Register gibt einen
sofortigen Überblick über die ermittelten Ergebnisse |
|
|
| Zur sofortigen Kontrolle werden die Ergebnisse in diesem
Register lastfallweise übersichtlich zusammengestellt. |
|
 |
|
Eine Box zeigt an, ob ein Lastfall die Tragfähigkeit
des Anschlusses überschritten hat (rot ausgekreuzt)
oder wie viel Reserve noch vorhanden ist (grüner Balken). |
Bei bis zu zehn Lastkombinationen werden zur Fehleranalyse
oder zur Einschätzung der Tragkomponenten
die Einzelberechnungsergebnisse protokolliert. |
Die maximale Ausnutzung wird sowohl als 'Gesamt' unterhalb
der Zusammenstellung als auch am oberen
rechten Fensterrand angezeigt. |
Ebenso wird die maßgebende Lastkombination gekennzeichnet
und kann über den Aktionslink direkt in der
Druckliste eingesehen werden. |
|
 |
|
| Eine Meldung zeigt an, wenn ein Fehler aufgetreten
oder die Tragfähigkeit überschritten ist. |
| Wenn die Ursache des Fehlers nicht sofort ersichtlich ist, sollte
die Druckliste in der ausführlichen Ergebnisdarstellung geprüft
werden. |
|
|
|
 |
|
Fachwerkträger und Fachwerkstützen
(z.B. Maste, Kabelbrücken oder Bühnenaufbauten) oder auch Balkongeländer
werden häufig mit Hohlprofilen konstruiert, deren Gurt-Streben-Verbindungen
geschweißt sind. Auch flüssigkeits-
oder gasführende Rohrleitungen
sind über geschweißte Knoten verbunden. |
| Da die Dimensionierung der Konstruktion i.A. von der Tragfähigkeit
der Verbindungsknoten und nicht von der Querschnittstragfähigkeit
abhängt, wird hier das Verfahren des EC 3-1-8, Kap. 7,
zur Bemessung typischer geschweißter Hohlprofilknoten vorgestellt,
das dem Programm 4H-EC3HK zu Grunde liegt. |
Die Tragfähigkeitstabellen beziehen sich auf eine ebene Betrachtung,
bei räumlichen Knoten werden die
Tragfähigkeiten ggf. reduziert. |
| Es stehen folgende typische Knotenverbindungen zur Verfügung,
die nach der Art ihrer Streben-Gurt-Verbindung bezeichnet werden (s.a. Register 1). Sie sind auf eine
Betrachtungsebene bezogen. |
|
 |
| T- / Y-Knoten: eine Strebe am Gurt |
|
|
 |
| X-Knoten: zwei gleichartige Streben am Gurt auf einer Systemlinie |
|
|
 |
K- / N-Knoten: zwei Streben am Gurt, ggf. kein eindeutiger
Schnittpunkt der Systemlinien
(Exzentrizitätsmoment wird
berücksichtigt); Streben können
sich überlappen |
|
|
 |
| KT-Knoten (Spezialknoten): K-Knoten mit T-Knoten kombiniert
(keine
Überlappung erlaubt) |
|
|
 |
| DY-Knoten (Spezialknoten): Y-Knoten, Strebe am Gurt
gespiegelt |
|
|
 |
| DK-Knoten (Spezialknoten): K-Knoten, Streben am Gurt gespiegelt
(keine
Überlappung erlaubt) |
|
|
 |
| RE-Knoten: Rahmeneckknoten |
|
|
|
|
| Spezialknoten setzen sich aus den Tragfähigkeiten der Grundknoten
zusammen und werden nicht weiter differenziert. |
|
| K- / N-Knoten können mit Spalt oder überlappenden Streben ausgeführt
werden. Bei K- / N-Knoten mit Überlappung wird vorausgesetzt: λov,lim ≤ 80%.
Im Programm 4H-EC3HK wird die Abscherung (s. Tab. 7.8 und 7.20)
nicht überprüft. Nur die überlappende Strebe braucht nachgewiesen zu werden. |
|
| T- / Y-, X- und K- / N-Knoten können zudem als räumliche Knoten
modelliert werden (s.o.). Dazu werden die Streben dupliziert
und aus der Betrachtungsebene um den Winkel φ in eine andere
Betrachtungsebene gedreht (bei X-Knoten und Rechteckhohlprofil
(RHP)-Gurten φ = 90°).
Die Betrachtungsebenen werden separat nachgewiesen, wobei die
Tragfähigkeiten um einen Faktor μ abgemindert werden. |
|
| Die Streben des T- / Y- und X-Knotens können entweder als Träger
(Normalkraft + Biegung) oder - wie alle anderen auch - als Fachwerkstab
(nur Normalkraft) bemessen werden. Es können folgende Profile verbunden werden, wobei sich
auf gängige Kombinationen beschränkt wird |
|
Bei RE-Knoten haben Stütze und Riegel den gleichen
Querschnitt. Es können nur RHP-Querschnitte
berechnet werden. |
|
| Kreishohlprofil (KHP)-Gurt mit |
 |
| KHP-Streben (Normalkraft + Biegung) |
|
|
 |
| RHP-Streben (Normalkraft) |
|
|
 |
| Blech-Streben (Normalkraft) |
|
|
 |
| I- / H-Profil-Streben (Normalkraft) |
|
|
|
|
|
| Rechteckhohlprofil (RHP)-Gurt mit |
 |
| RHP-Streben (Normalkraft + Biegung) |
|
|
 |
| KHP-Streben (Normalkraft) |
|
|
 |
| Blech-Streben (Normalkraft) |
|
|
 |
| I- / H-Profil-Streben (Normalkraft) |
|
|
|
|
|
| I-/H-Profil-Gurt mit |
 |
| RHP-Streben (Normalkraft + Biegung) |
|
|
 |
| KHP-Streben (Normalkraft) |
|
|
|
| Der Gurt kann durch Stegsteifen im Lasteinleitungsbereich der
Streben verstärkt werden. |
|
|
|
| U-Profil-Gurt mit |
 |
| RHP-Streben (Normalkraft + Biegung) |
|
|
 |
| KHP-Streben (Normalkraft) |
|
|
|
|
|
|
| Die Bemessung ist in EC 3-1-8, Kap. 7, in Tabellen geregelt.
Die vollständige Bemessung eines Knotens setzt die Einhaltung
eines Gültigkeitsbereichs
voraus, der wiederum in einer anderen Tabelle definiert
ist. Im Folgenden werden die Bestimmungen kurz beschrieben,
weiterführende Informationen können dem EC 3-1-8, Kap. 7, entnommen werden. |
|
| Allgemeines |
 |
Treten bei K- / N-Knoten in beiden Streben Kräfte gleichen
Vorzeichens auf (N1, N2 Druck oder N1, N2 Zug),
entspricht das
Versagensverhalten jeder einzelnen Strebe einem Y-Knoten. |
Sind die Vorzeichen unterschiedlich,
sind Strebe 1 die Druckstrebe und Strebe 2 die Zugstrebe (wird
programmintern angepasst). |
| Eine Biegetragfähigkeit wird nur für Θ = 90° ermittelt. |
|
| Die Traglastausnutzung ergibt sich durch die Interaktionsbedingung |
|
| Im Programm 4H-EC3HK wird die Momentenbeanspruchung rechtwinklig
zur Betrachtungsebene nicht berücksichtigt. |
|
|
|
| Beiwerte |
 |
| Die folgenden Beiwerte werden in den Tabellen verwendet, es
gilt |
|
|
|
|
 |
|
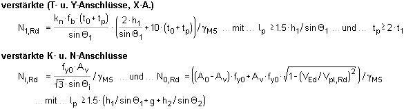
| Gültigkeitsbereich Tab. 7.1 |
 |
|
|
|
|
| Tragfähigkeit Tab. 7.2 und 7.5 von KHP-Streben |
 |
|
|
| Bei Einhaltung des Gültigkeitsbereichs (Tab. 7.1) sind nur die
Versagensmechanismen Flanschversagen des Gurtstabs und Durchstanzen zu untersuchen. |
|
| Flanschversagen des Gurtstabs |
 |
|
|
|
| Durchstanzen nur, wenn di ≤ d0 − 2·t0 |
 |
|
|
|
|
|
|
|
| Tragfähigkeit Tab. 7.3 von Blech-Streben und Tab. 7.4
von I-/H- oder RHP-Streben (nur θ1 = 90°) |
 |
|
|
| Bei Einhaltung des Gültigkeitsbereichs (Tab. 7.1) sind
nur die Versagensmechanismen Flanschversagen des Gurtstabs und Durchstanzen zu untersuchen. |
| Zusätzlich zu den Grenzen in Tab. 7.1 gelten β ≥ 0.4 und η ≤ 4. |
|
| Für Blech-Streben quer zur Gurtachse gilt |
|
| Flanschversagen des Gurtstabs |
 |
|
|
|
| Durchstanzen |
 |
|
|
|
| Für Blech-Streben längs der Gurtachse gilt |
|
| Flanschversagen des Gurtstabs |
 |
|
|
|
| Durchstanzen |
 |
|
|
|
| Für I-/H-Streben gilt |
|
| Flanschversagen des Gurtstabs |
 |
|
|
|
| Durchstanzen |
 |
|
|
|
| Für RHP-Streben gilt |
|
| Flanschversagen des Gurtstabs |
 |
|
|
|
| Durchstanzen |
 |
|
|
|
|
|
|
|
| Bemessungskriterien Tab. 7.6 für spezielle Anschlüsse |
 |
|
|
|
|
| Abminderungsbeiwerte für räumliche Anschlüsse Tab. 7.7 |
 |
|
|
|
|
|
 |
|
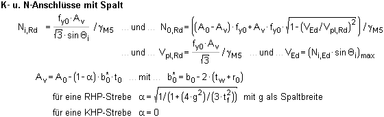
| Gültigkeitsbereich Tab. 7.8 |
 |
|
|
 |
|
Liegen quadratische RHP- oder KHP-Streben vor und werden die zusätzlichen
Bedingungen der Tab. 7.9 erfüllt,
dürfen die Tragfähigkeiten mit Tab. 7.10 bestimmt werden. |
|
 |
|
|
|
|
|
| Tragfähigkeit Tab. 7.10 und 7.14 von KHP- oder
quadratischen RHP-Streben |
 |
|
| Bei Einhaltung des Gültigkeitsbereichs (Tab. 7.8 u. 7.9) sind
die Versagensmechanismen Flanschversagen des Gurtstabs und Versagen
der Strebe zu untersuchen. |
|
| Flanschversagen des Gurtstabs |
 |
|
|
|
| Versagen der Strebe |
 |
|
|
|
|
|
|
|
| Tragfähigkeit Tabelle 7.11, 7.12 und 7.14 von KHP- oder
RHP-Streben |
 |
|
| Bei Einhaltung des Gültigkeitsbereichs (Tab. 7.8) sind
die Versagensmechanismen Flanschversagen des Gurtstabs, Seitenwandversagen
(Schubversagen) des Gurtstabs, Versagen der Strebe und Durchstanzen zu untersuchen. |
|
| Flanschversagen des Gurtstabs |
 |
|
|
|
| Seitenwandversagen (Schubversagen) des Gurtstabs |
 |
|
|
|
| Versagen der Strebe |
 |
|
|
|
| Durchstanzen |
 |
|
|
|
|
|
|
|
| Tragfähigkeit Tab. 7.13 von Blech- oder I-/H-Streben |
 |
|
| Bei Einhaltung des Gültigkeitsbereichs (Tab. 7.8) sind
die Versagensmechanismen Flanschversagen des Gurtstabs, Seitenwandversagen und Durchstanzen zu untersuchen. |
| Zusätzlich zu den Grenzen in Tab. 7.8 gilt 0.5 ≤ β ≤ 1.0 (nicht Längsblech) und b0 / t0 ≤ 30. |
|
| Flanschversagen des Gurtstabs |
 |
|
|
|
| Seitenwandversagen |
 |
|
|
|
| Durchstanzen |
 |
|
|
|
|
|
|
|
| Bemessungskriterien Tab. 7.15 für spezielle Anschlüsse |
 |
|
|
|
|
| Bemessungskriterien Tab.
7.16 für geschweißte Rahmeneckanschlüsse
mit RHP-Bauteilen |
 |
|
| unversteift |
|
| Der Querschnitt sollte für reine Biegung in Klasse eingestuft sein, s. EN 1993-1-1. |
|
|
| versteift |
|
|
|
|
|
|
| Tragfähigkeit Tab. 7.17 und 7.18 von verstärkten Anschlüssen
von RHP- oder KHP-Streben |
 |
|
| Bei Einhaltung des Gültigkeitsbereichs (Tab. 7.8) sind
die Versagensmechanismen Flanschversagen des Gurtstabs, Strebenversagen, Seitenwandversagen (Schubversagen) und Durchstanzen zu untersuchen. |
| Die Verstärkung durch eine Gurtlamelle
wirkt sich auf die Versagensmechanismen Flanschversagen des Gurtstabs, Strebenversagen und Durchstanzen aus. |
| Die Verstärkung durch Seitenwandlamellen wirkt sich auf
den Versagensmechanismus Seitenwandversagen (Schubversagen) aus. |
|
| Flanschversagen des Gurtstabs - Versagen der Strebe - Durchstanzen |
 |
|
|
|
| Seitenwandversagen (Schubversagen) des Gurtstabs |
 |
|
|
|
| Abminderungsbeiwerte für räumliche Anschlüsse Tab. 7.19 |
 |
|
|
|
|
|
|
|
|
 |
|
| Gültigkeitsbereich Tab. 7.20 |
 |
|
|
|
|
| Tragfähigkeit Tab. 7.21 und 7.22 von RHP- oder KHP-Streben |
 |
|
| Bei Einhaltung des Gültigkeitsbereichs (Tab. 7.20) sind
nur die Versagensmechanismen Fließen des Stegs des Gurtstabs, Versagen der Strebe und Durchstanzen zu untersuchen. |
|
| Fließen des Stegs des Gurtstabs |
 |
|
|
|
| Schubsagen des Gurtstabs |
 |
|
|
|
| Versagen der Strebe |
 |
|
|
|
|
|
|
|
|
 |
|
| Gültigkeitsbereich Tab. 7.23 |
 |
|
|
|
|
| Tragfähigkeit Tab. 7.24 von RHP- oder KHP-Streben |
 |
|
| Bei Einhaltung des Gültigkeitsbereichs (Tab. 7.23) sind
nur die Versagensmechanismen Schubversagen des Gurtstabs und Versagen der Strebe zu untersuchen. |
|
| Schubversagen des Gurtstabs |
 |
|
|
|
| Versagen der Strebe |
 |
|
|
|
|
|
|
|
|
|
 |
|
| Die Verbindungselemente (Gurt und Streben)
werden mit Kehl- oder Stumpfnähten
verbunden, deren Schweißnaht konzentriert in der Wurzellinie
angenommen wird. |
| Die Wurzellinien der Einzelnähte bilden den Linienquerschnitt
(s. G. Wagenknecht: Stahlbau-Praxis nach Eurocode 3, Band 2) zur Aufnahme
bzw. Weiterleitung der Schnittgrößen. |
| Im Programm 4H-EC3HK, Hohlprofilknoten, werden
stets umlaufende Schweißnähte modelliert, die in Einzelnähte
aufgelöst werden. |
|
| Beispielhaft sind nebenstehend die Einzelnähte,
die den Linienquerschnitt bilden, für ein Blech
(Flacheisen) dargestellt. |
| Die Nummerierung in rot kennzeichnet die
Naht,
die Zahlenangaben in blau bezeichnen die maßgebenden
Nachweispunkte auf der jeweiligen Naht. |
|
| Es
ist zu unterscheiden zwischen den Schwerpunkten
des Querschnitts und des Linienquerschnitts. |
| Da die Querschnitte symmetrisch sind und eine umlaufende
Schweißnaht
mit konstanter Nahtdicke angenommen wird, stimmen der Schwerpunkt
des
Linienquerschnitts
und
der
Querschnittsschwerpunkt
überein. |
|
 |
|
|
Bezogen auf den Schwerpunkt des Linienquerschnitts
werden die Querschnittsfläche ΣAw, ggf. die Querschnitts-
fläche in y- und z-Richtung Aw,y, Aw,z, die
gesamte Nahtlänge Σlw sowie die Trägheitsmomente
Iw,y,
Iw,z ermittelt. Der
Differenzabstand zum Querschnittsschwerpunkt Δyw, Δzw ist
stets Null (s.o.). |
|
| Über eine Interaktionsbeziehung (s. Theorie, mehrteilige Querschnitte) können
den Einzelnähten
Schnittgrößen zugeordnet werden, die im Schwerpunkt der
Naht wirken. |
| Die lokalen Normalkräfte und
Biegemomente werden
über diese Beziehung ermittelt. |
|
|
| Die Querkraftaufteilung
erfolgt nach der konventionellen Methode, d.h. die Stegnähte übernehmen
Vz. |
|
| Damit werden die Spannungen in den maßgebenden
Nachweispunkten (Punkt 0 und 1 der Naht i) berechnet. |
|
 |
|
|
| Sowohl Druck- als auch Zugnähte werden entweder
nach dem richtungsabhängigen |
|
| oder dem vereinfachten Verfahren nachgewiesen. |
|
| Abschließend wird die maximale Beanspruchung der Schweißnähte
ausgewiesen. |
|
Da die Beschreibung der Schweißnahtnachweise
nach EC 3 programmübergreifend identisch ist, wird auf die
allgemeine Beschreibung des Schweißnahtnachweises verwiesen. |
|
|
 |
|
Der Tragsicherheitsnachweis der offenen, dünnwandigen
Querschnitte kann nach dem Nachweisverfahren
Elastisch-Elastisch (DIN
EN 1993-1-1, Abs. 6.2.1(5)) oder nach dem Nachweisverfahren Elastisch-Plastisch
geführt werden (DIN EN 1993-1-1, Abs. 6.2.1(6)). |
| Im Programm 4H-EC3HK, Hohlprofilknoten, tritt
keine Torsion auf und wird daher im Folgenden nicht betrachtet. |
|
| Nachweisverfahren Elastisch-Elastisch |
 |
| Beim Nachweisverfahren Elastisch-Elastisch werden
die Schnittgrößen (Beanspruchungen) auf Grundlage
der Elastizitätstheorie bestimmt. |
| Der Spannungsnachweis erfolgt
mit dem Fließkriterium aus DIN EN 1993-1-1, Abs. 6.2.1(5). |
|
| Punktweise wird die Ausnutzung des Querschnitts berechnet
mit |
|
| Die Berechnung der Normalspannungen erfolgt mit |
|
| wobei sich η, ζ auf das Hauptachsensystem
(bei symmetrischen Querschnitten η=y, ζ=z) beziehen. |
|
| Beispiel R 168.3 x 10(w) |
|
|
| Nachweisverfahren Elastisch-Plastisch |
 |
Beim Nachweisverfahren Elastisch-Plastisch werden
die Schnittgrößen (Beanspruchungen) auf Grundlage
der Elastizitätstheorie bestimmt. |
| Der Nachweis folgt den Regeln des EC 3-1-1,
6.2.2 bis 6.2.10. Es wird der ungeschwächte
Bruttoquerschnitt zu Grunde gelegt. Der Querschnitt gehört den Klassen 1 oder 2 an. |
|
| Die plastische Normalkrafttragfähigkeit
berechnet sich mit (6.2.3+4) |
|
| Die plastische Biegetragfähigkeit
berechnet sich mit (6.2.5) |
|
| Die plastische Querkrafttragfähigkeit
berechnet sich mit (6.2.6) |
|
| Die plastische Berechnung basiert
auf dem Nachweis der Momentenbeanspruchbarkeit.
Dazu wird die plastische Biegetragfähigkeit
in Abhängigkeit der anderen Beanspruchungen
(N, V) abgemindert. |
| Die Querkraft wirkt
sich nach 6.2.8 auf die Momententragfähigkeit
aus, wenn gilt |
|
| Anstelle der Steifigkeit fy wird
das plastische Widerstandsmoment um den ρ-Anteil
der querkraftbelasteten Querschnittsteile reduziert.
Dadurch ergibt sich die reduzierte plastische Biegetragfähigkeit
zu |
|
| Die gleichzeitige Wirkung einer Normalkraft
ist nach 6.2.9 bei der Biegetragfähigkeit
zu berücksichtigen, wenn gilt |
|
| Die reduzierte Biegetragfähigkeit beträgt |
|
| wobei die Biegetragfähigkeit
bereits durch Querkraft abgemindert
sein kann. |
| Ebenso kann die Normalkrafttragfähigkeit
durch Querkraft abgemindert sein,
da die querkraftbeanspruchten Querschnittsteile
um den Faktor ρ reduziert werden. |
|
| Der Nachweis wird bei einachsiger
Biegung mit Normalkraft geführt mit |
|
| und bei zweiachsiger Biegung mit
Normalkraft mit |
|
| Beispiel R 168.3 x 10(w) |
|
|
| Die Grenzwerte grenz (c/t) werden je nach Nachweisverfahren
aus DIN EN 1993-1-1, Abs. 5.5.2, Tab. 5.2, ermittelt. |
| Dies entspricht der Überprüfung der erforderlichen
Klassifizierung des Querschnitts. |
| Läßt die Klassifizierung keinen elastischen
oder plastischen Nachweis zu, wird eine Fehlermeldung ausgegeben. |
|
|
|
 |
|
| Im Folgenden werden drei Beispiele
zum Nachweis von Knotenverbindungen dargestellt Anhand der gängigen
Typen Y-Knoten (Bsp. 1),
K-Knoten (Bsp. 2), T-Knoten
mit Blech (Bsp. 3) werden
die einzelnen Berechnungsschritte erläutert. |
| Nähere Informationen
zur Berechnung der Knotentragfähigkeiten finden Sie hier. |
|
| Bsp. 1 - Puthli, Stahlbaukalender
2002, Y-Knoten, Kreishohlprofile |
|
 |
Der Auflagerknoten eines Fachwerkträgers
wird als Y-Knoten mit einer Strebenneigung von θ = 38.7°
ausgebildet.
Gurt und Strebe sind Kreishohlprofile.
Da es sich um ein Endauflager handelt, ist der Knoten
nur für die Normalkräfte
im Gurt N0,Ed = 97 kN und in der Strebe
N1,Ed = -124.3 kN auszulegen. |
|
| Die Schnittgrößen werden auf
die Erläuterungsgrafik
bezogen. In diesem Beispiel wirkt die Zugkraft im Gurt
(Index 0) links und die Druckkraft
in der Strebe (Index 1). Alle anderen Schnittgrößen
sind Null. |
|
| Der Datencheck klärt zunächst
die Zulässigkeit
des Verfahrens. Dabei wird unterschieden zwischen Bedingungen,
die unbedingt eingehalten werden müssen (sie führen
zu einer Fehlermeldung mit Programmabbruch) und sog.
'sollte'-Bedingungen des Eurocodes, die nicht
zwingend eingehalten werden müssen (sie werden
gemeldet, die Berechnung wird jedoch durchgeführt). |
| Eine derartige 'sollte'-Bedingung ist
die Forderung nach einer Mindestschweißnahtdicke
zur Gewährleistung voller Rotationsfähigkeit
(s. EC 3-1-8, 4.9(6)) |
|
| Die für die nachfolgende Berechnung
notwendigen Beiwerte werden berechnet, hier nur der
Geometriebeiwert β |
|
| Die maßgebenden Bemessungsschnittgrößen
betreffen die Strebenkraft N1,Ed sowie die
maximale Druckkraft im Gurt N0,Ed = 0 (Nulllasten
werden nicht protokolliert) |
|
| Die Berechnung der Tragfähigkeit
erfolgt mit Tab. 7.2 (KHP-Strebe an KHP-Gurt), wobei
deren Anwendung die Gültigkeit
der geometrischen Beziehungen
(Tab. 7.1) voraussetzt. Für Gurt
und Strebe gilt |
|
| Tab. 7.2 weist die Tragfähigkeiten
für die Versagensmechanismen Flanschversagen des
Gurts und Durchstanzen aus. Da die Gurt-Vorspannkraft
Np ≥ 0, erfolgt keine Festigkeitsabminderung des Flanschs
(kp =
1). Durchstanzen muss nur nachgewiesen werden, wenn
der Strebendurchmesser kleiner als der lichte Gurtdurchmesser
ist. |
|
| Der Schweißnahtnachweis wird für
eine nicht geneigte und ausgeschnittene Strebe mit
dem richtungsbezogenen Verfahren geführt |
|
| Die Querschnitte von Gurt und Strebe
werden plastisch nachgewiesen |
|
|
|
|
|
|
| Bsp. 2 - Puthli, Stahlbaukalender
2011, K-Knoten verstärkt, Rechteckhohlprofile |
|
 |
| Der an einer Mittelstütze liegende
Fachwerkknoten wird als K-Knoten mit einer beidseitigen
Strebenneigung von θ = 53.95° bemessungsrelevant. Gurt und Streben sind
Rechteck- bzw. Quadrathohlprofile, die als parametrisierte
Profile eingegeben werden. |
|
| In diesem Beispiel wirken Druckkräfte im Gurt
(Index 0) links und rechts, eine Zugkraft
in Strebe 1 und eine Druckkraft in Strebe 2. Alle
anderen Schnittgrößen
sind Null. |
|
| Der Datencheck klärt zunächst
die Zulässigkeit
des Verfahrens (vgl. Bsp. 1). |
|
| Da die Strebenachsen mit der Gurtachse
keinen einheitlichen Schnittpunkt bilden (Exzentrizität
e), ist zusätzlich das Exzentrizitätsmoment
zu berücksichtigen. Die für die nachfolgende
Berechnung notwendigen Werte werden berechnet und ggf.
überprüft |
|
| Das Exzentrizitätsmoment wird berechnet
zu |
|
| Damit ergeben sich die maßgebenden
Bemessungsschnittgrößen:
die
maximale Druckkraft im Gurt N0,Ed sowie
die Strebenkräfte N1,Ed und N2,Ed |
|
| Die Berechnung der Tragfähigkeit
erfolgt mit Tab. 7.12 (RHP-Strebe
an RHP-Gurt), wobei deren Anwendung die Einhaltung
der Schnittgrößendefinition und die Gültigkeit
der geometrischen Beziehungen (Tab. 7.8) voraussetzt. |
| Für die Anwendung der Tabellen ist
die Vorzeichenkonvention der Streben einzuhalten. In diesem
Beispiel ist Strebe 1 eine Zugstrebe, während
Strebe 2 die Druckstrebe ist. Da die Tabellen für
Strebe 1 als Druckstrebe gelten, wird das Modell (Geometrie
und Schnittgrößen) transformiert. Hier sind nur die
Schnittgrößen betroffen |
|
| Anschließend erfolgt die Überprüfung
der geometrischen Beziehungen (Tab. 7.8) |
|
| Obwohl die Gültigkeitsgrenzen überschritten
sind, wird Tab. 7.12 ausgewertet. |
| Sie weist die Tragfähigkeiten
für die Versagensmechanismen Schub- und Flanschversagen
des Gurts, Versagen der Strebe und Durchstanzen aus. |
Für den Gurt und jede Strebe werden
die Traglasten ermittelt und der einwirkenden Größe
gegenübergestellt.
Für die Druckspannung in der Kontaktebene
wird der Abminderungsbeiwert kn ermittelt, der die
Tragfähigkeit des Gurtflanschs herabsetzt. |
|
| Da die Tragfähigkeit des Gurtflanschs
um 8% überschritten ist,
wird eine Gurtlamelle zur Verstärkung vorgesehen. Damit
sie Auswirkungen auf die Berechnung hat, muss ihre
Dicke größer sein als die Flanschdicke des Gurts. Um
die Konstruktion des Fachwerkträgers nicht zu verändern,
ergibt sich ein größerer Spalt (gemessen auf der Lamelle). |
|
| Wenn die Abmessungen der Lamelle eingehalten
werden, darf die Berechnung für die Versagensformen
Flanschversagen des Gurtstabs, Versagen der Strebe
und Durchstanzen mit einer Flanschdicke t0 = tp erfolgen |
|
| Es ergibt sich nun |
|
| Das Schubversagen des Gurts wird von
der Gurtlamelle nicht beeinflusst. |
|
|
|
|
|
| Bsp. 3 - Puthli, Stahlbaukalender
2011, T-Knoten mit Blech, Rechteckhohlprofil |
|
 |
| Der Anschluss eines Fahnenblechs
an eine Rechteckhohlprofilstütze soll nachgewiesen
werden. Die Stütze wird hier als Gurt modelliert,
das Fahnenblech ist ein längs der Systemachse angeschweißtes Blech. |
|
| Die Schnittgrößen sind auf
die Erläuterungsgrafik
bezogen. In diesem Beispiel wirken im Gurt (Index 0)
links und rechts des Knotens eine Druckkraft und ein
Biegemoment. Die Strebe (Index 1) erhält eine Querkraft, die allerdings für
die Knotennachweise nicht relevant ist, und ein Biegemoment.
Alle anderen Schnittgrößen
sind Null. |
|
| Der Datencheck klärt zunächst
die Zulässigkeit des Verfahrens (vgl. Bsp. 1). |
| Die für die nachfolgende Berechnung
notwendigen Beiwerte werden berechnet |
|
| Die maßgebenden Bemessungsschnittgrößen
sind das Biegemoment im Blech Mip,1,Ed sowie
die Schnittgrößen im Gurt, die die maximale Druckspannung
in der Kontaktebene erzeugen N0,Ed und M0,Ed |
|
| Die Berechnung der Tragfähigkeit
erfolgt mit den Tab. 7.13 und 7.14 (Blech-Strebe
an RHP-Gurt), wobei deren Anwendung die Gültigkeit
der geometrischen Beziehungen (Tab. 7.8) voraussetzt. |
|
| Speziell für den Blech-Anschluss
sind in den Tragfähigkeitstabellen
zusätzliche bzw. strengere Grenzen definiert. |
|
| Tab. 7.13 weist die Tragfähigkeiten
für den Versagensmechanismus Flanschversagen
des Gurts für eine Normalkraft
in der Strebe N1,Ed aus. Für
das Biegemoment Mip,1,Ed enthält Tab.
7.14 (RHP erweitert auf Längsbleche) die zuständigen
Vorschriften. Da N1,Ed = 0, ist nur Tab.
7.14 von Belang. |
| Zusätzlich wird analog Tab.
7.3 der Versagensfall Durchstanzen untersucht. |
| N. Puthli (s. Sk'11, S. 457) besteht
für Längsbleche die Möglichkeit, ein
Biegemoment Mip,1,Ed zu übertragen.
Dazu ist der Beiwert kn = km (1-β)
zu setzen. |
|
| Der Schweißnahtnachweis wird für
eine nicht geneigte und ausgeschnittene Strebe mit
dem richtungsbezogenen Verfahren geführt |
|
| Die Querschnitte von Gurt und Strebe
werden plastisch nachgewiesen |
|
|
|
|
|
|
|
|
 |
| zur Hauptseite 4H-EC3HK, Hohlprofilknoten |
 |
|
|